Evaluation of the Effectiveness of Personalized Treatment of Trace Element and Vitamin Status in Men with Initial Stages of Androgenic Alopecia Treated with Conservative Therapy
- Authors: Kondrakhina I.N.1, Zatevalov A.M.2, Gatiatulina E.R.3, Nikonorov A.A.1, Deryabin D.G.1, Kubanov A.A.1
-
Affiliations:
- State Research Center of Dermatovenereology and Cosmetology
- G.N. Gabrichevsky Research Institute for Epidemiology and Microbiology
- All-Russian Research Institute of Medicinal and Aromatic Plants
- Issue: Vol 76, No 6 (2021)
- Pages: 604-611
- Section: DERMATOLOGY and VENEROLOGY: current issues
- Published: 15.12.2021
- URL: https://vestnikramn.spr-journal.ru/jour/article/view/1617
- DOI: https://doi.org/10.15690/vramn1617
- ID: 1617
Cite item
Full Text
Abstract
Background. Androgenic alopecia (AGA) is the most common form of pathological hair loss with multiple micronutrient disorders involvedin its occurrence and development.
Aim—to evaluatethe effectiveness of personalized treatment of micronutrient deficiencies in patients with early stages of AGA and conservative therapy using a vasodilator drug minoxidil based on evidence-based medicine.
Methods. A total 48 patients with stages I–IV of AGA (according to the Norwood–Hamilton scale) were recruited to experimental prospective clinical study evaluating the effectiveness of pharmaceutical forms of trace elements and vitamins. The primary diagnosis of micronutrient deficiency was carried out by comparing laboratory parameters of patients with AGA and 25 healthy volunteers. After that, conservative treatment with 5% topical minoxidilin AGA patients was enriched with 2-month personalized systemic supplementation of pharmaceutical forms of trace elements and vitamins. At the end of the study, the correspondence between changes in trace elements and vitamins content in the plasma and the trichogram parameters before and after conservative therapy was assessed.
Results. The majority (96%) of the examined patients with AGA were characterized by mono- or polynutrient deficiencies. Personalized correction made it possible to restore the content of Se, Mg, Fe and vitamin E to the baseline levels and to achieve a significant increase in Zn, vitamin D and folic acid plasma content. The relationship between changes in the level of micronutrients and trichogram parameters was recorded only for Se (decrease in anagen hairs: r = –0.43; p = 0.037; decrease in hair density: r = –0.45; p = 0.028) and folic acid (an increase in anagen hairs: r = 0.41; p = 0.024); the positive effect of vitamin E on hair density was also detected.
Conclusion. The results of the study allow to recommend a personalized treatment of folic acid and vitamin E deficiencies, with possible refusal to use the Se-containing drugs in conservative therapy of patients with the early stages of AGA.
Full Text
Обоснование
Андрогенная алопеция (AA) у мужчин (МКБ-10: L64) является наиболее распространенным типом прогрессирующего выпадения волос [1]. В возникновении и развитии данного заболевания принимают участие множественные генетические, гормональные, сосудистые и метаболические факторы [2], среди которых в последнее время значительное внимание привлекают нарушения микроэлементного и витаминного статуса. При этом, с одной стороны, доказана важная роль Fe, Zn, Se, витаминов А, D, Е и фолиевой кислоты в обеспечении нормального роста волос и поддержании их структуры [3]. С другой стороны, накапливается все больше данных о том, что АА развивается на фоне снижения сывороточных концентраций Zn, Cu, Se, Mn и Mg [4]. При этом, по данным М. Bayer et al., регулярное употребление биологически активных добавок, а также местное применение цинка, L-карнитина, биотина и др. снижало выпадение волос и увеличивало соотношение анаген/ телоген [5]. Это также подтверждается положительным эффектом средиземноморской диеты, богатой свежими овощами и травами, а также морепродуктами с высоким содержанием эссенциальных микроэлементов на течение алопеции [6]. В литературном обзоре Н.М. Almohanna et al. [7] делается вывод о том, что дефицит ряда микронутриентов должен рассматриваться как важный модифицирующий фактор, который оказывает существенное влияние на клиническую картину и прогрессирование АА. Роль данного фактора подтверждена и в нашем недавнем исследовании [8], демонстрирующем наибольшую значимость множественных относительных микронутриентных нарушений у лиц с низким уровнем генетического риска развития АА. Указанные обстоятельства определяют перспективу применения микронутриентов в схемах консервативного лечения АА, особенно на начальных стадиях данного заболевания, при которых восстановление трофики волосяного фолликула может остановить процесс патологической утраты волос или даже повернуть его вспять.
Примером подобного подхода является использование биологически активной добавки, содержащей Zn, витамины и аминокислоты, регулярное употребление которой приводило к снижению скорости выпадения волос, а также к увеличению соотношения анаген/телоген [5]. В то же время ретроспективный перекрестный анализ, проведенный E.J. Cheung et al. [9], свидетельствует о достаточно противоречивых взаимосвязях между проводимой коррекцией микроэлементных и витаминных нарушений с динамикой потери волос. Авторы выявили снижение витамина D, цинка и ферритина, хотя уровни витамина В12 и фолиевой кислоты были нормальными, при этом они рекомендуют, помимо употребления богатой дефицитными витаминами пищи, применение таких препаратов, как глюконат железа и цинка, с дополнительной проверкой через 3 мес. Положительный эффект топического применения миноксидила (2,4-пиримидинодиамин-6-(1-пиперидинил)-3-оксид) известен довольно давно [10], однако дополнение стандартной терапии определением и коррекцией уровней микроэлементов и витаминов конкретного пациента происходит не всегда. Чаще используют стандартные схемы применения фармакологических форм витаминов и микроэлементов независимо от текущего микронутриентного статуса [11].
Цель исследования — с позиций доказательной медицины оценить эффективность персонализированной фармакологической коррекции относительной микронутриентной недостаточности у пациентов с начальными стадиями АА при проведении базовой консервативной терапии сосудорасширяющим лекарственным средством миноксидилом.
Методы
Дизайн исследования
Осуществлено проспективное клиническое исследование эффективности использования фармакологических форм микроэлементов и витаминов при проведении консервативной терапии пациентов с начальными стадиями АА (рис. 1). Первичная диагностика относительного дефицита микронутриентов выполнена методом «случай–контроль» путем сравнения лабораторных показателей пациентов с клинической картиной АА и группы здоровых добровольцев (группы сравнения). На основе полученных данных из пациентов с АА формировались подгруппы с нормальным содержанием определенного микронутриента и с его относительной недостаточностью, при выявлении которой проводилась персонализированная фармакологическая коррекция. В связи с тем что для большинства микронутриентов не установлены строгие границы нормы, а их относительная недостаточность оценивается путем сопоставления с группой сравнения, представленной здоровыми людьми того же пола и возраста, проживающими на той же территории, установление недостаточности микронутриентов и доли пациентов с недостаточностью проводилось с путем сравнения с внутрилабораторной нормой. При этом пороговое значение относительной недостаточности не превышало значения 25 перцентиля для этого показателя в группе сравнения. В качестве косвенного результата терапии использовалась нормализация содержания микроэлемента или витамина в плазме крови. Прямым критерием эффективности являлось изменение (улучшение) инструментально регистрируемых параметров волосяного покрова. В завершение исследования оценивали соответствие между изменениями лабораторных показателей и показателей трихограммы до и после проведения консервативной терапии.
Рис. 1. Дизайн исследования эффективности персонализированной коррекции микронутриентного статуса у пациентов с ранними стадиями андрогенной алопеции. АА — андрогенная алопеция
Критерии соответствия
Формирование основной группы проведено из состава пациентов, самостоятельно обратившихся за медицинской помощью в ФГБУ «Государственный научный центр дерматовенерологии и косметологии» (ГНЦДК) Минздрава России с жалобами на потерю волос, а основным критерием их включения в настоящее исследование являлось соответствие диагнозу «андрогенная алопеция» (МКБ-10: L64). Критериями невключения являлись иные формы алопеции, а также случаи утраты волос как осложнения другого (основного) заболевания.
Критериями включения в состав группы сравнения являлись нормальные показатели трихограммы волосистой части головы, а также отсутствие (на момент исследования) иных дерматологических заболеваний.
Все лица, включенные в состав групп, предоставили письменное информированное согласие на участие в исследовании.
Условия проведения
Клиническое и инструментованное обследование пациентов с АА до и после окончания терапии выполнено в консультативно-диагностическом центре ГНЦДК. Содержание микроэлементов и витаминов в плазме крови — в лабораторном центре того же медицинского учреждения.
Описание медицинского вмешательства
У каждого участника основной группы (двукратно — до и после завершения терапии) и группы сравнения (однократно) в вакуумные пробирки Vacuette K3 c ЭДТА (GreinerBio-One, Австрия) были отобраны пробы венозной крови в объеме 5–10 мл, разделенные на клеточную и плазменную фракции при 3000 g в течение 10 мин в центрифуге Allegra X-14 (Beckman Coulter, США). Образцы плазмы крови передавались для лабораторного исследования, клеточная фракция утилизировалась.
Все пациенты с АА получали базовую терапию в виде 5%-го миноксидила наружно 2 раза в день. Персонализированная фармакологическая коррекция выявленной при первичном обследовании микроэлементной и/или витаминной относительной недостаточности осуществлялась в течение 2 мес доступными фармакологическими формами, содержащими: цинка сульфат 124 мг (1 табл. 2 раза в день, после еды); хелат меди 400 мг (1 табл. в день, после еды); селен 50 мкг (1 табл. 2 раза в день, после еды); железо III гидроксид полимальтозат 357 мг (1 табл. в день, после еды); магния оротатадигидрат 500 мг (1 табл. 2 раза в день, после еды); холекальциферол (витамин D3) (по 5000 МЕ 1 раз в день); фолиевая кислота 5 мг (1 табл. в день, после еды); витамин Е 400 мг (1 раз в день, после еды); витамин В12 (1 мг в/м через день).
Taблица 1. Характеристика волосяного покрова до и после консервативной терапии пациентов с андрогенной алопецией
Зона | Параметр | Группа сравнения (n = 25) | Алопеция (n = 48) | |
До | После | |||
Андроген-зависимая (лобная) область | Плотность волос, число волос на 1 см2 | 298 (285–310) | 188 (150–201)* | 205 (170–220)* |
Число волос в фазе анагена, % | 96 (93–99) | 70 (60–80)* | 80 (70–85)#* | |
Число волос в фазе телогена, % | 4 (1–7) | 30 (21–40)* | 20 (15–30) #* | |
Диаметр волос, мкм | 60 (58–61) | 42 (39,5–44,5)* | 48 (42,5–50)* | |
Андроген-независимая (затылочная) область | Плотность волос, число волос на 1 см2 | 320 (315–350) | 252 (207–264)* | 260 (228–290)* |
Число волос в фазе анагена, % | 99 (96–100) | 89 (81–95)* | 90,5(85,8–95)* | |
Число волос в фазе телогена, % | 1 (0–4) | 11 (5–18,6)* | 9,5 (5–14,2)* | |
Диаметр волос, мкм | 62 (61–63) | 56 (54–58)* | 57 (55– 60) | |
* Различия достоверны по сравнению с контролем (р < 0,05).
# Различия достоверны по сравнению с АА до лечения (р < 0,05).
Исход исследования
Исход консервативной терапии АА оценивался косвенным (по изменению содержания микроэлементов и/ или витаминов в плазме крови) и прямым (по изменению количественных характеристик волосяного покрова)критериям. Исходя из данных, полученных до и после терапии, рассчитаны изменения (∆) анализируемых параметров, на основании чего проанализированы статистические соответствия между ∆ корригируемых микроэлементов и витаминов с ∆ количественных характеристик трихограмм.
Методы регистрации исходов
Оценка количественных характеристик волосяного покрова проводилась на основе анализа трихограмм, полученных с использованием микрокамеры Aramo SG (Aram HUVIS Co. Ltd., Республика Корея) и обработанных профессиональной компьютерной диагностической программой Trichoscience PRO v. 1.4 [8].
Определение концентраций Mg, Ca, Zn, Cu, Se, Fe в плазме крови проводили с использованием прямых колориметрических тестов при помощи биохимического анализатора KONELAB 20XTi (Thermo Scientific, США) или атомно-абсорбционной спектрометрии, реализованной на платформе AA-7000 (Shimadzu, Япония). Для определения концентраций витаминов В12, D (в форме 25(ОН)-D3), Е и фолиевой кислоты использованы методы иммуноферментного и иммунолюминесцентного анализа, а также высокоэффективной жидкостной хроматографии с масс-спектрометрией [12].
Этическая экспертиза
Проведение исследования одобрено локальным этическим комитетом ФГБУ «ГНЦДК» Минздрава России (протокол № 7 от 31 октября 2017 г.), согласно которому оно соответствует стандартам добросовестной клинической практики и доказательной медицины.
Статистический анализ
Анализ и визуализация полученных данных выполнены с использованием RStudiofor MacOS(версия 1.3.1056) и языка программирования R. Оценка распределения данных проводилась при помощи критерия Шапиро–Уилкса и представлялась в виде медианы и значений 25 и 75 перцентилей (25–75). Для оценки достоверности различий между группами использовался критерий Краскела–Уоллиса с последующим апостериорным тестом Данна на множественность сравнений. Для оценки достоверности различий показателей трихограммы до и после лечения использовался критерий Уилкоксона для парных сравнений. Для расчета корреляционных связей применялся корреляционный анализ по Спирмену. Различия считались достоверными при p < 0,05.
Результаты
Объекты (участники) исследования
Постановка диагноза «андрогенная алопеция» (L64) осуществлялась в соответствии с Международной классификацией болезней 10-го пересмотра (МКБ-10), введенной в действие на территории Российской Федерации с 1 января 1999 г. приказом Министерства здравоохранения Российской Федерации № 170.
На момент первичного обследования возраст пациентов составлял от 18 до 55 лет (в среднем — 26,2 ± 5,3 года). Длительность заболевания варьировала от нескольких месяцев до 6 лет со средней продолжительностью 3,2 ± 1,1 года.
Анализ трихограмм пациентов с АА позволил выявить множественные изменения количественных характеристик волосяного покрова по сравнению с группой сравнения, что, в частности, проявлялось в снижении среднего диаметра волос на 30% (p < 0,001) в лобной и на 10% (p < 0,001) в затылочной областях. Констатировано уменьшение плотности волос в лобной области на 37% (p < 0,001), а в затылочной — на 21% (p < 0,001) по сравнению с контролем. Доля волос в фазе анагена снижалась на 27% в лобной (p < 0,001) и на 10% в затылочной (p < 0,001) областях по сравнению с контролем, а в фазе телогена возрастала соответственно в 7,5 (p < 0,001) и 11 раз (p < 0,001) (табл. 1).
В целом по результатам проведенного клинического обследования I и II стадии АА (по классификации Norwood−Hamilton) диагностированы у 22 (46%) пациентов, III стадия — у 16 (33%), IV — у 10 (21%) пациентов.
Результаты лабораторного исследования свидетельствовали о наличии относительной моно- или полимикронутриентной недостаточности у 46 из 48 пациентов с АА (95,8%). Недостаточность Cu выявлена у 33 (68,8%) пациентов, Zn — у 28 (58,3%), Se — у 25 (52,1%), Mg — у 10 (20,8%), Fe — у 5 (10,4%) пациентов. Недостаточность Ca не обнаруживалась. Наиболее выраженные нарушения витаминного статуса выявлены в отношении витамина D (n = 32; 66,7%) и фолиевой кислоты (n = 30; 62,5%), недостаточность витамина Е констатирована у 25 (52,1%) пациентов, а витамина В12 — у 15 (31,3%).
Полученные данные использовались в качестве показаний для включения в схему консервативной терапии АА фармакологических форм микроэлементов и витаминов, направленных на персонализированную коррекцию выявленных относительных моно- и полимикронутриентных дефицитов.
Основные результаты исследования
Косвенным результатом 2-месячного применения фармакологических форм микроэлементов при проведении консервативной терапии АА стало статистически значимое повышение содержания в плазме крови Se (на 82% от исходного уровня; p = 0,001), Fe (на 78%; p = 0,001), Mg (на 31%; p = 0,008) и Zn (на 18,3%; p = 0,001). При этом уровень группы сравнения был достигнут в отношении Se, Fe и Mg (рис. 2, А). В то же время проведенная коррекция недостаточности Cu не сопровождалась значимым изменением уровня названного микроэлемента в плазме крови.
Рис. 2. Количественное содержание микроэлементов (А) и витаминов (Б) в плазме крови пациентов с АА и группы сравнения до и после проведения персонализированной коррекции выявленных микронутриентных изменений: 1 — группа сравнения; 2 — пациенты с АА (общая группа); 3 — пациенты с АА без признака дефицита определенного микронутриента; 4 — группа пациентов с АА с дефицитом определенного микронутриента до начала персонализированной терапии; 5 — группа пациентов с АА с дефицитом определенного микронутриента после завершения персонализированной терапии. Указаны статистически значимые различия (p) между подгруппами пациентов с АА; * — достоверность отличия от группы сравнения (p < 0,05).
Коррекция витаминного статуса также сопровождалась статистически значимым повышением содержания в плазме крови витаминов D, E и фолиевой кислоты (на 53;89, 3 и 147% соответственно). При этом достичь уровня группы сравнения у пациентов с АА удалось только в отношении витамина Е и В12 (рис. 2, Б). При этом, несмотря на 62%-е повышение уровня витаминов В12 после коррекции, оно было статистически незначимым.
Прямым результатом консервативной терапии пациентов с начальными (I–IV) стадиями АА явилось улучшение объективных характеристик волосяного покрова, наиболее выраженное в андроген-зависимой (лобной) области (см. табл. 1). Анализ трихограмм показал умеренное увеличение плотности волос на 8,3% в лобной и на 3% в затылочной областях, а также увеличение среднего диаметра волос на 12,5% в лобной области без существенного изменения данного параметра в затылочной. Наиболее значимым являлось изменение доли волос, находящихся на разных стадиях развития волосяного фолликула. В лобной области количество волос в фазе анагена оказалось на 12,5% (р = 0,017) выше, а доля волос в фазе телогена понизилось на 34% (р = 0,017), что, однако, не позволило достичь уровня группы сравнения и продолжало достоверно отличаться от нее. В затылочной области достоверной разницы в количестве волос на стадиях анаген/телоген до и после лечения не зафиксировано.
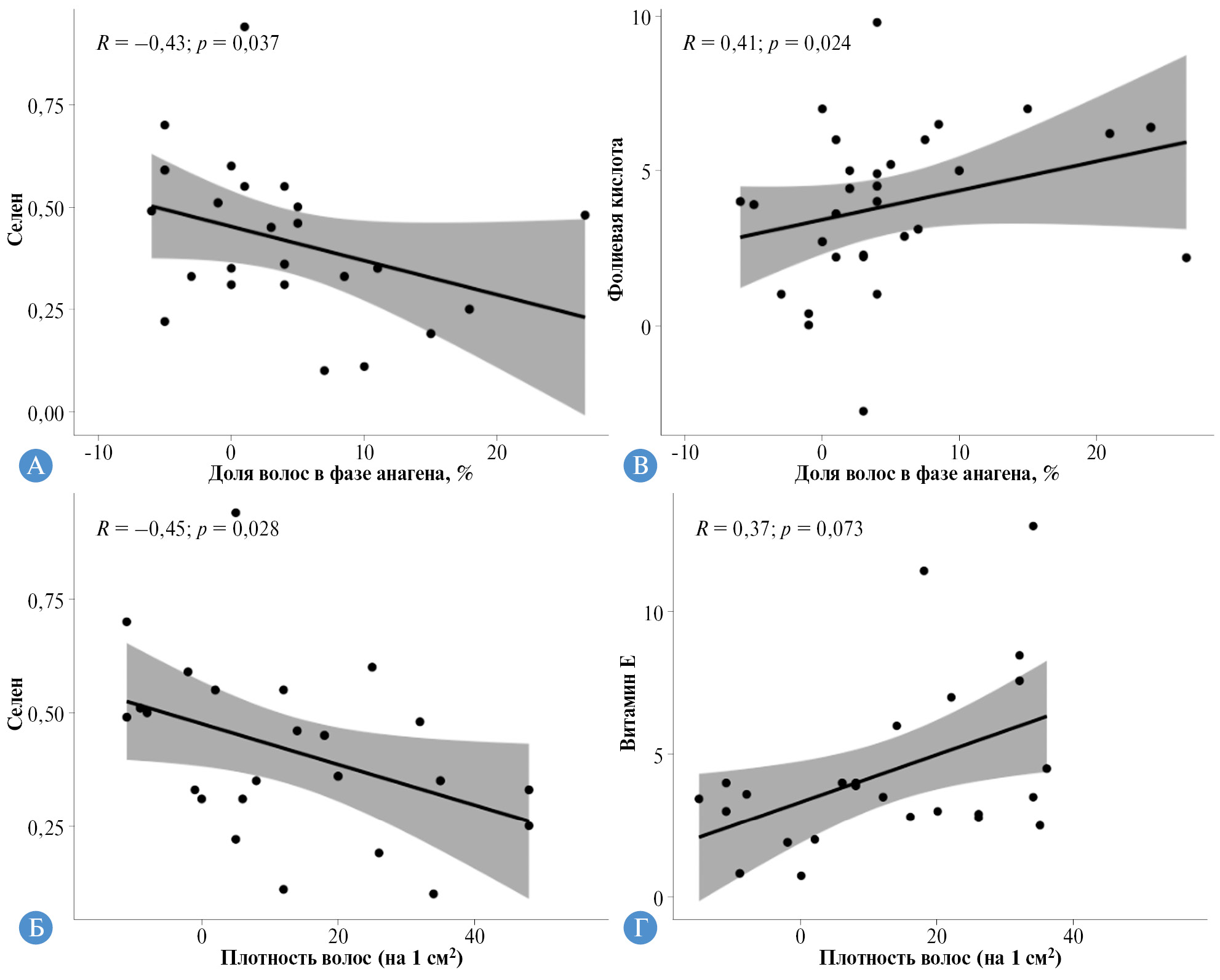
Сопоставление различий (∆) содержания анализируемых микронутриентов в плазме крови пациентов с АА до и после завершения персонализированной консервативной терапии и достигнутых у них количественных изменений трихограмм позволило установить существование единичных существенных, статистически значимых взаимосвязей (рис. 3). Наиболее выраженный вклад в восстановление волосяного покрова вносило повышение уровня фолиевой кислоты: (∆) данного витамина в плазме крови положительно коррелировала с увеличением доли волос в фазе анагена (r = 0,41; р = 0,024). Другой положительный коэффициент корреляции связывал (∆) витамина Е с достигаемым увеличением плотности волос (r = 0,37), достоверность которого находилась возле порога статистической значимости (р = 0,073). На этом фоне обращала на себя внимание статистически значимая отрицательная корреляция между (∆) Se и изменением доли волос в фазе анагена (r = –0,43; р = 0,037), сопровождаемая существованием отрицательной корреляции (r = –0,45; р = 0,028) между (∆) Se и изменением плотности волос, что в совокупности характеризовало терапевтический эффект от применения названного микроэлемента как негативный.
Рис. 3. Корреляционные зависимости, связывающие изменения доли волос в фазе анагена (А, В) и плотности волос (Б, Г) после проведения персонализированной консервативной терапии АА с достигнутым повышением содержания в плазме крови фолиевой кислоты (В), витамина Е (Г) и Se (А, Б)
Обсуждение
Абсолютная или относительная недостаточность микронутриентов (микроэлементов и витаминов), играющих важную роль в обмене веществ и энергии, в настоящее время рассматривается в качестве важного элемента патогенеза широкого круга заболеваний. Нарушения микронутриентного статуса выявляются при метаболическом синдроме [13], психологическом стрессе [14], а также следующей за ним депрессии [15]. Накапливается информация и о роли данного фактора в патогенезе АА [4, 7, 16, 17], что подтверждается нашими данными о наличии множественной моно- и полимикронутриентной относительной недостаточности у пациентов с начальными стадиями данного заболевания.
В настоящем исследовании с позиций доказательной медицины изучена возможность персонализированной фармакологической коррекции выявляемой относительной недостаточности микроэлементов (Mg, Zn, Cu, Se, Fe) и витаминов (В12, D, Е, фолиевой кислоты) у пациентов с АА, а также значимость восстановления содержания отдельных микронутриентов в успешности консервативной терапии данного заболевания.
Полученные данные свидетельствуют о том, что системное применение фармакологических форм микроэлементов в большинстве случаев позволяет ликвидировать соответствующую относительную недостаточность (Se, Mg и Fe), однако в отношении некоторых из них процесс восстановления идет недостаточно активно (Zn) или оказывается неэффективным (Cu). При этом, учитывая важную роль Zn в прогнозе эффективности консервативной терапии АА [18], а также важную роль Cu в возникновении и развитии данного заболевания [19], относительный неуспех проведенной коррекции требует модификации используемого подхода, в том числе путем увеличения дозировок и сроков использования соответствующих фармакологических форм микроэлементов. Проведенная коррекция также в значительной степени позволила восстановить витаминный статус пациентов с АА с достижением уровня группы сравнения по содержанию витамина E и существенным прогрессом по содержанию витамина D и фолиевой кислоты. В свою очередь, наименее выраженные изменения зафиксированы в отношении витамина В12, содержание которого оставалось в коридоре исходных значений.
Несмотря на общий положительный косвенный результат персонализированной терапии, заключающийся в существенном повышении или нормализации содержания большинства микроэлементов и витаминов в плазме крови пациентов с АА, их связь с изменением инструментально регистрируемых параметров волосяного покрова в значительном числе случаев (для Mg, Zn, Cu, Fe, витаминов В12, D) не удалось продемонстрировать.
На этом фоне важным результатом проведенного исследования явился тот факт, что прирост Se оказывался отрицательно связанным с долей волос в стадии анагена и достигаемой в процессе консервативной терапии плотностью волос. Тем самым полученные данные возвращают нас к вопросу об эссенциальности или токсичности Se, являющегося не только сильным антиоксидантом и модулятором углеводного и липидного обмена [20], но в некоторых дозировках утяжеляющего течение диабета [21], сердечно-сосудистых заболеваний [22] и процессов нейродегенерации [23]. Если же учитывать узость диапазона оптимального потребления Se, определяющего U-образную связь его присутствия в биологических субстратах со здоровьем человека [24], а также возможное влияние данного микроэлемента на активность андрогенных рецепторов и выработку андрогенов [25], совокупность накопленных данных заставляет рекомендовать крайне осторожное использование препаратов Se при терапии АА (вплоть до отказа от их применения), даже в случае диагностированной микроэлементной недостаточности.
В свою очередь, существование объективных положительных корреляций между восстановлением уровня фолиевой кислоты (и в меньшей степени витамина Е) с позитивными изменениями трихологических характеристик у пациентов с АА является обоснованием для коррекции прежде всего названной недостаточности. При этом достаточное потребление фолиевой кислоты — важное условие общей нормализации обмена веществ, клеточного гомеостаза и синтеза ДНК [22], дополняемое ролью его активного метаболита — 5-метилтетрагидрофолата в продукции NO и удалении супероксидных радикалов, что в совокупности улучшает кровоснабжение и кислородное обеспечение интенсивно функционирующих тканей [26], в том числе волосяного фолликула. Позитивный клинический эффект от коррекции относительной недостаточности витамина Е может быть объяснен его участием в защите клеток от свободно-радикального повреждения [27, 28], а его важная роль в патогенезе АА — хорошо документированный факт [29].
Заключение
В целом совокупность полученных данных открывает дискуссию о целесообразности сложившейся практики массированного применения фармакологических форм микроэлементов и витаминов в трихологии и косметологии. При этом корректный подход к назначению соответствующих фармакологических форм должен не исчерпываться выявлением определенной микронутриентной недостаточности, а базироваться на объективных доказательствах достижения положительного клинического эффекта. Частным результатом проведенного исследования является обоснование подобных рекомендаций по персонализированной коррекции относительной недостаточности фолиевой кислоты и витамина Е, а также возможный отказ от использования препаратов Se при проведении консервативной терапии начальных стадий АА у мужчин.
Дополнительная информация
Источник финансирования. Исследования выполнены и их результаты опубликованы за счет финансирования по месту работы авторов.
Конфликт интересов. Авторы данной статьи подтвердили отсутствие конфликта интересов, о котором необходимо сообщить.
Участие авторов. Участие авторов: А.А. Кубанов — разработка дизайна исследования, одобрение окончательной версии статьи; И.Н. Кондрахина — анализ литературы, формирование групп пациентов, регистрация клинических исходов терапии; А.М. Затевалов — статистическая обработка и анализ полученных результатов; Е.Р. Гатиатулина — статистическая обработка и анализ полученных результатов, внесение корректив в текст статьи; А.А, Никоноров — анализ литературы, интерпретация полученных данных, корректорская правка текста статьи; Д.Г. Дерябин — интерпретация полученных данных, подготовка текста статьи. Все авторы прочли и одобрили окончательную версию статьи перед публикацией.
Выражение признательности. Авторы выражают искреннюю благодарность пациентам и здоровым добровольцам, принявшим участие в проведении исследования.
About the authors
Irina N. Kondrakhina
State Research Center of Dermatovenereology and Cosmetology
Author for correspondence.
Email: kondrakhina77@gmail.com
ORCID iD: 0000-0003-3662-9954
SPIN-code: 8721-9424
MD, PhD
Russian Federation, 3c6, Korolenko str., Moscow, 107076Alexander M. Zatevalov
G.N. Gabrichevsky Research Institute for Epidemiology and Microbiology
Email: zatevalov@mail.ru
ORCID iD: 0000-0002-1460-4361
SPIN-code: 3718-6127
PhD in Biology
Russian Federation, MoscowEugenia R. Gatiatulina
All-Russian Research Institute of Medicinal and Aromatic Plants
Email: gatiatulinaer@gmail.com
ORCID iD: 0000-0002-6360-2194
SPIN-code: 5392-5170
MD, PhD
Russian Federation, MoscowAlexandr A. Nikonorov
State Research Center of Dermatovenereology and Cosmetology
Email: nikonorov_all@mail.ru
ORCID iD: 0000-0001-7214-8176
SPIN-code: 3859-7081
Scopus Author ID: 6701729328
MD, PhD, Professor
Russian Federation, 3c6, Korolenko str., Moscow, 107076Dmitry G. Deryabin
State Research Center of Dermatovenereology and Cosmetology
Email: dgderyabin@yandex.ru
ORCID iD: 0000-0002-2495-6694
SPIN-code: 8243-2537
MD, PhD, Professor
Russian Federation, 3c6, Korolenko str., Moscow, 107076Alexey A. Kubanov
State Research Center of Dermatovenereology and Cosmetology
Email: kubanov@list.ru
ORCID iD: 0000-0002-7625-0503
SPIN-code: 8771-4990
MD, PhD, Professor, Corresponding Member of the RAS
Russian Federation, 3c6, Korolenko str., Moscow, 107076References
- Yap CX, Sidorenko J, Wu Y, et al. Dissection of genetic variation and evidence for pleiotropy in male pattern baldness. Nat Commun. 2018;9(1):5407. doi: https://doi.org/10.1038/s41467-018-07862-y
- Heilmann-Heimbach S, Hochfeld LM, Henne SK, Nöthen MM. Hormonal regulation in male androgenetic alopecia-Sex hormones and beyond: Evidence from recent genetic studies. Exp Dermatol. 2020;29(9):818–827. doi: https://doi.org/10.1111/exd.14130
- Guo EL, Katta R. Diet and hair loss: Effects of nutrient deficiency and supplement use. Dermatol Pract Concept. 2017;7(1):1–10. doi: https://doi.org/10.5826/dpc.0701a01
- Iyanda AA. Serum elements status of androgenetic alopecia subjects exposed to cigarette smoke or alcohol. Journal of Emerging Trends in Engineering and Applied. Sciences. 2012;3(4):702–707.
- Bayer M., Gahrtz M., Voss W, et al. The Effect of a Food Supplement and a Hair Lotion on the Progression of Androgenetic Alopecia. J Cosmet Dermatol Sci Appl. 2019;9(4):292–304. doi: https://doi.org/10.4236/jcdsa.2019.94026
- Fortes C, Mastroeni S, Mannooranparampil T, et al. Mediterranean diet: Fresh herbs and fresh vegetables decrease the risk of androgenetic alopecia in males. Arch Dermatol Res. 2018;310(1):71–76. doi: https://doi.org/10.1007/s00403-017-1799-z
- Almohanna HM, Ahmed AA, Tsatalis JP, et al. The role of vitamins and minerals in hair loss: A review. Dermatol Ther (Heidelb). 2019;9(1):51–70. doi: https://doi.org/10.1007/s13555-018-0278-6
- Кондрахина И.Н., Вербенко Д.А., Затевалов А.М., и др. Значение генетических и негенетических факторов в возникновении и развитии андрогенной алопеции у мужчин: многопараметрический анализ // Вестник РАМН. — 2019. — Т. 74. — № 3. — С. 167–175. [Kondrakhina IN, Verbenko DA, Zatevalov AM, et al. The value of genetic and non-genetic factors in the occurrence and development of androgenetic alopecia in men: multifactor analysis. Annals of the Russian Academy of Medical Sciences. 2019;74(3):167–175. (In Russ.)]. doi: https://doi.org/10.15690/vramn1141
- Cheung EJ, Sink JR, English Iii JC. Vitamin and Mineral Deficiencies in Patients with Telogen Effluvium: A Retrospective Cross-Sectional Study. J Drugs Dermatol. 2016;15(10):1235–1237.
- Suchonwanit P, Thammarucha S, Leerunyakul K. Minoxidil and its use in hair disorders: A review. Drug Des Devel Ther. 2019;13:2777–2786. doi: https://doi.org/10.2147/DDDT.S2149072019
- Rajendrasingh RR. Nutritional correction for hair loss, thinning of hair, and achieving new hair regrowth. In: Practical Aspects of Hair Transplantation in Asians. Tokyo: Springer; 2018. P. 667–685.
- Kondrakhina IN, Verbenko DA, Zatevalov AM, et al. A Cross-sectional Study of Plasma Trace Elements and Vitamins Content in Androgenetic Alopecia in Men. Biol Trace Elem Res. 2021;199(9):3232–3241. doi: 10.1007/s12011-020-02468-2
- Nimrouzi M, Ruyvaran M, Zamani A, et al. Oil and extract of safflower seed improve fructose induced metabolic syndrome through modulating the homeostasis of trace elements, TNF-α and fatty acids metabolism. J Ethnopharmacol. 2020;254:112721. doi: https://doi.org/10.1016/j.jep.2020.112721
- Tao L, Zheng Y, Shen Z, et al. Psychological stress-induced lower serum zinc and zinc redistribution in rats. Biol Trace Elem Res. 2013;155:65–71. doi: https://doi.org/10.1007/s12011-013-9762-0
- Xu L, Zhang Sh, Chen Wei et al. Trace elements differences in the depression sensitive and resilient rat models. Biochem Biophys Res Commun. 2020;529(2):204–209. doi: https://doi.org/10.1016/j.bbrc.2020.05.228
- Kil MS, Kim CW, Kim SS. Analysis of Serum Zinc and Copper Concentrations in Hair Loss. Ann Dermatol. 2013;25(4):405–409. doi: https://doi.org/10.5021/ad.2013.25.4.405
- El-Esawy FM, Hussein MS, Mansour AI. Serum Biotin and Zinc in Male Androgenetic Alopecia. J Cosmet Dermatol. 2019;18:1546–1549. doi: https://doi.org/10.1111/jocd.12865
- Kondrakhina IN, Verbenko DA, Zatevalov AM, et al. Plasma Zinc Levels in Males with Androgenetic Alopecia as Possible Predictors of the Subsequent Conservative Therapy’s Effectiveness. Diagnostics (Basel). 2020;10(5):336. doi: https://doi.org/10.3390/diagnostics10050336
- Skalnaya MG. Copper deficiency a new reason of androgenetic alopecia? In: Atroshi F. (ed.). Pharmacology and nutritional intervention in the treatment of disease. Ch. 17. Bookson Demand; 2014. P. 337–348. doi: https://doi.org/10.5772/58416
- Steinbrenner H. Interference of selenium and selenoproteins with the insulin-regulated carbohydrate and lipid metabolism. Free Radic Biol Med. 2013;65:1538–1547. doi: https://doi.org/10.1016/j.freeradbiomed.2013.07.016
- Zhou JC, Zhou J, Su L, et al. Selenium and diabetes. In: Selenium. Michalke B. (ed.). Springer: Cham, Switzerland; 2018. P. 317–344.
- Vinceti M, Mandrioli J, Borella P, et al. Selenium neurotoxicity in humans: Bridging laboratory and epidemiologic studies. Toxicol Lett. 2014;230(2):295–303. doi: https://doi.org/10.1016/j.toxlet.2013.11.016
- Vinceti M, Filippini T, Rothman KJ. Selenium exposure and the risk of type 2 diabetes: A systematic review and meta-analysis. Eur J Epidemiol. 2018;33(9):789–810. doi: https://doi.org/10.1007/s10654-018-0422-8
- Rayman MP. Selenium intake, status, and health: A complex relationship. Hormones (Athens). 2020;19(1):9–14. doi: https://doi.org/10.1007/s42000-019-00125-5
- Minutoli L, Bitto A, Squadrito F. et al. Serenoa Repens, lycopene and selenium: a triple therapeutic approach to manage benign prostatic hyperplasia. Curr Med Chem. 2013;20(10):1306–1312. doi: https://doi.org/10.2174/0929867311320100007
- Stanhewicz AE, Kenney WL. Role of folic acid in nitric oxide bioavailability and vascular endothelial function. Nutr Rev. 2017;75(1):61–70. doi: https://doi.org/10.1093/nutrit/nuw053
- Nesari A, Taghi Mansouri M, Javad Khodayar M, et al. Preadministration of high-dose alpha-tocopherol improved memory impairment and mitochondrial dysfunction induced by proteasome inhibition in rat hippocampus. Nutr Neurosci. 2021;24(2):119–129. doi: https://doi.org/10.1080/1028415X.2019.1601888
- Sadiq M, Akram NA, Ashraf M, et al. Alpha-Tocopherol-Induced Regulation of Growth and Metabolism in Plants under Non-Stress and Stress Conditions. J Plant Growth Regul. 2019;38:1325–1340. doi: https://doi.org/10.1007/s00344-019-09936-7
- Upton JH, Hannen RF, Bahta AW, et al. Oxidative Stress-Associated Senescence in Dermal Papilla Cells of Men with Androgenetic Alopecia. J Invest Dermatol. 2015;135(5):1244–1252. doi: https://doi.org/10.1038/jid.2015.28
Supplementary files







