Complex Approach to the Management of Acneiform Rash Induced by Epidermal Growth Factor Receptor Inhibitors
- Authors: Kruglova L.S.1, Shatokhina E.A.1,2, Polonskaia A.S.1
-
Affiliations:
- Central State Medical Academy of Department of Presidential Affairs of the Russian Federation
- Medical Center of M.V. Lomonosov Moscow State University
- Issue: Vol 78, No 6 (2023)
- Pages: 517-529
- Section: DERMATOLOGY and VENEROLOGY: current issues
- Published: 23.12.2023
- URL: https://vestnikramn.spr-journal.ru/jour/article/view/10927
- DOI: https://doi.org/10.15690/vramn10927
- ID: 10927
Cite item
Full Text
Abstract
Rationale. Acneiform (papulopustular) rash is the leading dermatological adverse event of EGFR inhibitors. The development of optimal regimens for the supportive treatment of acneiform rash remains an important interdisciplinary problem in supportive oncology. Aims — to comparatively evaluate the clinical efficacy of the supportive treatment for acneiform rash induced by epidermal growth factor receptor inhibitors, including topical treatment with ivermectin cream and balneotherapy. Methods. In an open, prospective, randomized study, data from 114 patients with acneiform rash induced by monoclonal antibodies to EGFR were analyzed. All groups received intermittent supportive treatment according to a single regimen, continuous external therapy included: in group 1 — hypotonic thermal water, in group 2 — ivermectin 1% cream, in group 3 — hypotonic thermal water and ivermectin 1% cream. The observation period was 3 months. Acneiform rash severity was assessed using the CTCAE-NCI v5.0 criteria and a developed acneiform rash clinical severity scale. The intensity of subjective symptoms was assessed using a 10-point visual analog scale (VAS). The modified dermatological life quality index (mDLQI) was used to assess the impact of acneiform rash on patient’s quality of life. Results. A significant decrease in all of the studied parameters was observed in the groups by the end of the 1st week of supportive treatment and remained up to the end of the observation period (p < 0.05). There were no statistically significant differences between groups 2 and 3 with respect to the acneiform rash clinical severity scale, but their values were significantly lower than those of group 1 (group 1 vs. group 2, p < 0.001; group 1 vs. group 3, p < 0.001). The most rapid resolution of all subjective symptoms was observed in group 3. Significantly lower mDLQI values were also observed in group 3 starting from the 1st week of supportive treatment until the end of the follow-up period (р < 0.05). No severe adverse reactions were registered in any of the groups during the study. Conclusions. The developed regimens for the supportive treatment of acneiform rash have demonstrated a high efficacy in resolving papulopustular rash and associated subjective symptoms. The use of a complex approach including continuous topical therapy with ivermectin cream and hypotonic thermal water leads to the resolution of rash and relief of subjective symptoms in the shortest time, allows to safely maintain the achieved clinical effect for a long period of observation, has the most significant positive impact on the quality of life of cancer patients.
Full Text
Обоснование
Исследования в области лекарственной противоопухолевой терапии в 1990–2000-х годах привели к разработке широкого спектра таргетных препаратов, что позволило существенно повысить эффективность проводимого лечения и ожидаемую продолжительность жизни онкологических больных [1]. Поскольку патологическая активация EGFR (ErbB1, HER1) ассоциирована с развитием и прогрессированием ряда злокачественных новообразований, данный рецептор стал одной из «мишеней» таргетной противоопухолевой терапии [1]. На сегодняшний день моноклональные антитела к EGFR (цетукисмаб, панитумумаб) и ингибиторы тирозинкиназы EGFR (эрлотиниб, гефитиниб, афатиниб и др.) успешно применяются при лечении злокачественных новообразований, занимающих ведущие позиции в структуре онкологической заболеваемости и смертности, — рака ободочной кишки и ректосигмоидного соединения, рака прямой кишки, немелкоклеточного рака легкого, плоскоклеточного рака головы и шеи [2–4]. Основными нежелательными реакциями при противоопухолевой терапии ингибиторами EGFR являются дерматологические нежелательные реакции, представленные специфическими изменениями кожи и ее дериватов (табл. 1) [5].
Таблица 1. Дерматологические нежелательные реакции ингибиторов EGFR [5]
Дерматологические нежелательные реакции ингибиторов EGFR | ||
По времени возникновения | Ранние (в течение 1-го мес лечения) | Акнеподобная сыпь |
Промежуточные (1–3 мес от начала лечения) | Ксероз, трещины, зуд, паронихии | |
Поздние (2 мес и более от начала лечения) | Пиогенная гранулема, гипертрихоз, трихомегалия | |
По клиническим проявлениям | Поражение сально-волосяного фолликула | Акнеподобная сыпь |
Изменение кожного барьера | Ксероз, трещины, зуд | |
Поражение дериватов кожи | Паронихия, пиогенная гранулема, гипертрихоз, трихомегалия | |
Акнеподобная (папулопустулезная) сыпь выступает ведущей дерматологической нежелательной реакцией ингибиторов EGFR (рис. 1).
Рис. 1. Акнеподобная сыпь 2-й степени тяжести (CTCAE-NCI v. 5.0) на фоне таргетной противоопухолевой терапии цетуксимабом
Данная нежелательная реакция является не только самой ранней, но и самой частой при терапии ингибиторами EGFR. Так, при лечении моноклональными антителами к EGFR акнеподобная сыпь отмечается в 70–100% наблюдений [5]. Важно отметить, что частота развития, тяжесть течения и распространенность акнеподобной сыпи, как правило, выше при лечении моноклональными антителами к EGFR, чем ингибиторами тирозинкиназы EGFR [6]. Появление папулопустулезных элементов оказывает выраженное отрицательное влияние на качество жизни больных и может снижать комплаентность проводимому лечению, что в первую очередь связано с локализацией сыпи на эстетически значимых участках кожи — волосистой части головы, лица, шеи, зоны декольте. Кроме того, акнеподобная сыпь сопровождается субъективными симптомами — зудом и гиперчувствительностью, что приносит пациентам физические страдания [5, 6]. Несмотря на то что акнеподобная сыпь практически никогда не несет угрозы жизни онкологических больных, высокая активность кожного патологического процесса нередко становится причиной изменения схемы таргетной терапии вплоть до полной отмены лекарственного препарата, ставя под угрозу эффективность проводимого противоопухолевого лечения [5–7]. Таким образом, профилактика и лечение акнеподобной сыпи являются важной задачей сопроводительной терапии пациентов, получающих ингибиторы EGFR.
Согласно рекомендациям Российского общества клинической онкологии (RUSSCO, 2022) и Европейского общества медицинской онкологии (ESMO, 2021), лечение акнеподобной сыпи включает в себя непрерывный прием антибактериальных препаратов с противовоспалительной активностью (доксициклина моногидрата или миноциклина гидрохлорида), наружное лечение топическими глюкокортикостероидными препаратами умеренной потенции на протяжении 6 нед и более [8, 9]. При проведении сопроводительного лечения акнеподобной сыпи необходимо учитывать продолжительность таргетной терапии ингибиторами EGFR, которая может составлять более 12 мес, вследствие чего важным является не только быстрое купирование кожного процесса, но и возможность долгосрочного поддержания достигнутого клинического эффекта. Длительный непрерывный прием антибактериальных препаратов повышает общую фармакологическую нагрузку для онкологических больных, а использование топических глюкокортикостероидных препаратов в непрерывном режиме на протяжении более 4 нед потенциально опасно развитием местных и системных нежелательных реакций, что подчеркивает необходимость оптимизации существующих схем сопроводительного лечения акнеподобной сыпи. Разработанная Е.А. Шатохиной (2020) схема интермиттирующего лечения, учитывающая волнообразную динамику кожного процесса при лечении моноклональными антителами к EGFR, продемонстрировала свою эффективность и безопасность [10]. Исходя из современных данных, указывающих на клиническое и патоморфологическое сходство акнеподобной сыпи с розацеа [11–13], доказанного противовоспалительного эффекта ивермектина [14], представляется целесообразным применение наружной формы данного лекарственного препарата при восстановительном лечении акнеподобной сыпи. Кроме того, в последние годы неуклонно растет интерес к использованию физических факторов при восстановительном лечении онкологических пациентов. Принимая во внимание лечебные эффекты термальных вод, а именно положительное влияние на барьерную функцию кожи [15], повышение противомикробной защиты [15], снижение выраженности воспалительных процессов [16, 17], включение наружной бальнеотерапии в схемы восстановительного лечения акнеподобной сыпи может способствовать более быстрому и выраженному терапевтическому результату, а также оказывать профилактический эффект в отношении развития более поздних нежелательных реакций со стороны кожи, в частности ксероза.
Цель исследования — в сравнительном аспекте оценить клиническую эффективность схем восстановительного лечения акнеподобной сыпи, индуцированной ингибиторами EGFR, включающих наружное лечение кремом с ивермектином и бальнеотерапию.
Методы
Дизайн исследования
Проведено открытое проспективное рандомизированное исследование по оценке эффективности разработанных интермиттирующих схем восстановительного лечения акнеподобной сыпи у пациентов, получавших таргетную противоопухолевую терапию ингибиторами EGFR. В период проведения исследования (2020–2022 гг.) на консультацию к дерматовенерологу было направлено 147 пациентов с диагнозами «генерализованное высыпание на коже, вызванное лекарственными средствами и медикаментами» (код МКБ-10 L27.0) и «локализованное высыпание на коже, вызванное лекарственными средствами и медикаментами» (код МКБ-10 L27.1) на фоне таргетной противоопухолевой терапии моноклональными антителами к EGFR. В соответствии с критериями включения и невключения в исследовании приняло участие 128 пациентов. Пациенты были рандомизированы методом случайных чисел в три группы по восстановительному лечению акнеподобной сыпи. В связи с выбыванием из исследования 14 пациентов в соответствии с критериями исключения (несоблюдение предписанных схем лечения (n = 6), изменение режима противоопухолевой терапии (n = 4), летальный исход (n = 4)) проводился анализ данных 114 пациентов с акнеподобной сыпью, индуцированной ингибиторами EGFR (рис. 2).
Рис. 2. Диаграмма CONSORT для описания диспозиции пациентов по результатам рандомизации в исследовании
Критерии соответствия
Включение пациентов в исследование проводилось при установлении диагноза «акнеподобная сыпь на фоне таргетной противоопухолевой терапии моноклональными антителами к EGFR», согласии пациентов на участие в исследовании, ожидаемой продолжительности жизни пациента более 3 мес, в возрасте от 18 лет и старше.
Были определены следующие критерии невключения:
- отказ пациентов от участия в исследовании;
- 3–4-я степени тяжести акнеподобной сыпи (в соответствии с общими терминологическими критериями нежелательных реакций Национального института рака (CTCAE NCI v. 5.0));
- отягощенный аллергологический анамнез (аллергические реакции (сыпь, зуд, эозинофилия, анафилактический шок, ангионевротический отек) хотя бы на один из лекарственных препаратов, входящих в схемы сопроводительного лечения);
- обострение кожных патологических процессов менее чем за 6 мес до назначения противоопухолевой терапии;
- декомпенсированное соматическое заболевание;
- психические заболевания (диагнозы установлены врачом-специалистом, имеется соответствующая документация);
- пациенты с ВИЧ-инфекцией.
Критериями исключения являлись:
- несоблюдение предписанных схем лечения;
- изменение режима противоопухолевой терапии, подразумевающее отмену ингибитора рецептора эпидермального фактора роста;
- развитие тяжелых нежелательных реакций на фоне проводимого сопроводительного лечения.
Условия проведения
Исследование выполнено на базе кафедры дерматовенерологии и косметологии ФГБУ ДПО «Центральная государственная медицинская академия» Управления делами Президента Российской Федерации, «Университетской клиники» Медицинского научно-образовательного центра ФГБУ ВО «Московский государственный университет имени М.В. Ломоносова», клинического госпиталя «Лапино» (ГК «Мать и дитя»).
Продолжительность исследования
Исследование проводилось в период с 2020 по 2022 г. Период наблюдения составлял 3 мес. Контрольные осмотры проводились в восьми точках исследования — на 0-, 1-, 2-, 4-, 6-, 8-, 10- и 12-й нед. При каждом осмотре производилась оценка изучаемых показателей объективных и субъективных симптомов акнеподобной сыпи.
Описание медицинского вмешательства
Пациенты с акнеподобной сыпью во всех группах получали восстановительное лечение в интермиттирующем режиме по единой схеме: доксициклина моногидрат 100 мг 2 раза/сут, комбинированный крем бетаметазона валерата 0,01% и фузидовой кислоты 2% 2 раза/сут в течение 7 дней. Непрерывная наружная терапия проводилась по следующим схемам: группа 1 — гипотоническая термальная вода 1 раз/сут (по технике влажного компресса, экспозиция — 15 мин); группа 2 — крем ивермектина 1% 1 раз/сут; группа 3 — гипотоническая термальная вода 1 раз/сут (экспозиция — 15 мин) и крем ивермектина 1% 1 раз/сут (табл. 2).
Таблица 2. Разработанные схемы восстановительного лечения пациентов с акнеподобной сыпью
Непрерывная наружная терапия на область высыпаний | Интермиттирующая терапия: с 3-го по 9-й дни после каждого введения таргетного препарата | |
Группа 1 (сравнения) | Гипотоническая термальная вода 1 раз/сут (техника влажного компресса, экспозиция — 15 мин) | Таблетки доксициклина моногидрата — 100 мг 2 раза/сут. Комбинированный крем фузидовая кислота 2%, бетаметазона валерат 0,01% — 2 раза/сут |
Группа 2 | Крем ивермектина 1% 1 раз/сут | |
Группа 3 | 1. Гипотоническая термальная вода 1 раз/сут (техника влажного компресса, экспозиция — 15 мин). 2. Крем ивермектина 1% 1 раз/сут |
В качестве базисной терапии во всех группах в соответствии с клиническими рекомендациями RUSSCO пациенты ежедневно применяли эмоленты 2 раза/сут на весь кожный покров, солнцезащитные средства с фактором защиты от солнца (SPF) 50+ [8].
Продолжительность восстановительного лечения акнеподобной сыпи по разработанным схемам составляла 12 нед.
Исходы исследования
Первичная конечная точка: полное / практически полное разрешение акнеподобной сыпи (индекс шкалы тяжести акнеподобной сыпи — 0–1 балла).
Вторичные конечные точки: полное / практически полное разрешение субъективных симптомов (визуально-аналоговая шкала (ВАШ) зуда, гиперчувствительности — 0 баллов); отсутствие влияния дерматологической нежелательной реакции на качество жизни онкологических пациентов (модифицированный дерматологический индекс качества жизни (мДИКЖ) 0–1 балл); уменьшение показателя индекса шкалы тяжести акнеподобной сыпи на 50% и более; уменьшение показателей ВАШ зуда и гиперчувствительности на 50% и более, снижение мДИКЖ на 50% и более.
Методы регистрации исходов
Оценка тяжести акнеподобной сыпи на момент включения в исследование проводилась с использованием общих терминологических критериев нежелательных реакций Национального института рака, версия 5.0 (CTCAE-NCI v. 5.0) [18], в контрольных точках исследования — по разработанной 10-балльной шкале клинической оценки тяжести акнеподобной сыпи (табл. 3).
Таблица 3. Шкала оценки тяжести акнеподобной сыпи, 0–10 баллов
Балл | Клинические проявления |
0 | Нет проявлений |
1 | Единичные (до 10) папулезные и/или пустулезные элементы, покрывающие менее 10% площади поверхности тела, с/без слабо выраженным зудом, гиперчувствительностью (0–3 балла по ВАШ) |
2 | 10–20 папулезных и/или пустулезных элементов, покрывающие менее 10% площади поверхности тела, с/без слабо выраженным зудом, гиперчувствительностью (0–3 балла по ВАШ) |
3 | 21–30 папулезных и/или пустулезных элементов, покрывающие 10–30% площади поверхности тела, слабо выраженный зуд, гиперчувствительность (3–5 баллов по ВАШ) |
4 | 31–40 папулезных и/или пустулезных элементов, покрывающие 10–30% площади поверхности тела, слабо/умеренно выраженный зуд, гиперчувствительность (3–5 баллов по ВАШ) |
5 | 41–50 папулезных и/или пустулезных элементов, покрывающие 10–30% площади поверхности тела, слабо/умеренно выраженный зуд, гиперчувствительность (3–5 баллов по ВАШ), единичные (до 5) чешуйко-корки диаметром до 1 см |
6 | 51–60 папулезных и/или пустулезных элементов, покрывающие 10–30% площади поверхности тела, умеренно выраженный зуд, гиперчувствительность (5–7 баллов по ВАШ), единичные (до 5) чешуйко-корок диаметром до 1 см |
7 | Более 60 папулезных и/или пустулезных элементов, покрывающие 10–30% площади поверхности тела, умеренно выраженный зуд, гиперчувствительность (5–7 баллов по ВАШ), до 10 чешуйко-корок диаметром до 1 см, единичные чешуйко-корки (до 5) диаметром до 3 см |
8 | Более 60 папулезных и/или пустулезных элементов, покрывающие 10–30% площади поверхности тела, умеренно выраженный зуд, гиперчувствительность (5–7 баллов по ВАШ), до 10 чешуйко-корок диаметром до 1 см, единичные чешуйко-корки (до 5) диаметром до 3 см, признаки вторичного инфицирования |
9 | Более 60 папулезных и/или пустулезных элементов, покрывающие 10–30% площади поверхности тела, умеренно выраженный зуд, гиперчувствительность (5–7 баллов по ВАШ), более 10 чешуйко-корок диаметром до 1 см, более 5 чешуйко-корок диаметром до 3 см, признаки вторичного инфицирования |
10 | Более 60 папулезных и/или пустулезных элементов, покрывающие 10–30% площади поверхности тела, умеренно выраженный зуд, гиперчувствительность (5–7 баллов по ВАШ), более 10 чешуйко-корок диаметром до 1 см, более 10 чешуйко-корок диаметром до 3 см, признаки вторичного инфицирования, неэффективность ранее проводимой системной и топической терапии в соответствии с рекомендациями RUSSCO |
Интенсивность субъективных симптомов (зуда и гиперчувствительности) пациенты оценивали с помощью 10-балльной ВАШ.
Для оценки влияния акнеподобной сыпи на качество жизни онкологических пациентов использовался мДИКЖ (mDLQI, 0–30 баллов). Перед заполнением анкеты мДИКЖ внимание пациентов акцентировалось на необходимости оценивать влияние именно папулопустулезных («гнойничковых») высыпаний на качество жизни.
Этическая экспертиза
Проведение исследования было одобрено локальным этическим комитетом ФГБУ ДПО «Центральная государственная медицинская академия» Управления делами Президента Российской Федерации (протокол заседания локального этического комитета от 9 июня 2020 г. № 03-2/2020).
Статистический анализ
Принципы расчета размера выборки. Производился предварительный расчет размера выборки исследования [19]. Рассчитан необходимый объем выборки с помощью методики К.А. Отдельновой, формула расчета по таблице — n = 100. В исследовании проводилась статистическая обработка данных 114 пациентов с акнеподобной сыпью на фоне таргетной противоопухолевой терапии моноклональными антителами к EGFR.
Методы статистического анализа данных. Статистический анализ данных проводился с помощью программ IBM SPSS Statistics v. 26, StatTech v. 2.8.8 (разработчик — ООО «Статтех», Россия). Представление качественных признаков проводилось с использованием относительных показателей (проценты) с указанием абсолютных величин. Сравнение качественных признаков проводилось с помощью критерия хи-квадрат Пирсона [20]. Количественные признаки проверены на нормальность распределения с помощью критерия Шапиро–Уилка [20]. Количественные данные были представлены медианой и интерквартильным размахом (Ме [Q1; Q3]) (распределение количественных признаков было отличным от нормального) [20]. Значимость изменений количественных признаков в группах по интервалам исследования оценивалась с помощью критерия Вилкоксона для связанных выборок [20]. Межгрупповое сравнение по количественным показателям независимых выборок в контрольных точках исследования выполнялось с помощью критерия Краскела–Уоллиса [20]. При обнаружении статистически значимых различий между группами с помощью критерия Краскела–Уоллиса дополнительно проводилось попарное сравнение с использованием критерия Двасc–Стил–Критчлоу–Флинер (Dwass–Steel–Critchlow–Fligner, DSCF) — вариации теста Данна с поправкой на множественные сравнения Бонферрони [21]. Для графического представления полученных результатов были использованы диаграммы по типу «гистограмма», «ящики с усами». Уровень статистической значимости был зафиксирован на уровне вероятности ошибки 0,05.
Результаты
Объекты (участники) исследования
Медиана (Q1; Q3) возраста пациентов составила 59 лет (51; 69). Гендерное распределение характеризовалось преобладанием лиц мужского пола (61,4%; n = 70). Большая доля пациентов, направленных по поводу акнеподобной сыпи, проходила лечение по поводу колоректального рака (76,3%; n = 87). Пациенты с акнеподобной сыпью, проходившие лечение по поводу опухолей головы и шеи (23,7%; n = 27), в период проведения исследования получали только лекарственную противоопухолевую терапию. Всем пациентам проводилась лекарственная противоопухолевая терапия моноклональными антителами к EGFR: 78 пациентов (68,4%) получали препарат цетуксимаб, 36 (31,6%) — панитумумаб. Подробные демографическая и нозологическая характеристики пациентов представлены в табл. 4.
Таблица 4. Демографическая и нозологическая характеристики пациентов на этапе включения в исследование
Всего пациентов (n = 114) | абс. | % | |
Пол | Мужской | 70 | 61,4 |
Женский | 44 | 38,6 | |
Основной диагноз | Колоректальный рак | 87 | 76,3 |
Опухоли головы и шеи | 27 | 23,7 | |
Ингибитор EGFR | Панитумумаб | 36 | 31,6 |
Цетуксимаб | 78 | 68,4 | |
Сформированные в результате рандомизации группы были однородны по половозрастным характеристикам, степени тяжести акнеподобной сыпи, проводимой таргетной противоопухолевой терапии, интенсивности субъективных симптомов и степени влияния кожного процесса на качество жизни пациентов (табл. 5). Распределение количественных данных в группах по результатам оценки с помощью критерия Шапиро–Уилка было отличным от нормального.
Таблица 5. Характеристика групп пациентов с акнеподобной сыпью
Показатель | Группа 1 (n = 37) | Группа 2 (n = 38) | Группа 3 (n = 39) | p | |
Возраст (медиана (Q1; Q3)) | 58 (49; 69) | 58 (50; 68) | 59 (52; 69) | 0,909 | |
Пол, % | Мужской | 59,5 (22) | 63,5 (24) | 61,5 (24) | 0,948 |
Женский | 40,5 (15) | 36,8 (14) | 38,5 (15) | ||
Акнеподобная сыпь, CTCAE-NCI, % (n больных): 1-й степени тяжести | 37,8 (14) | 31,6 (12) | 30,8 (n =12) | 0,778 | |
2-й степени тяжести | 62,2 (23) | 68,4 (26) | 69,2 (27) | ||
Медиана шкалы тяжести акнеподобной сыпи (Q1; Q3) | 6 ( 5;7) 6 (5; 7) | 6 (5; 7) | 7 (6; 8) | 0,095 | |
Панитумумаб, % (n больных) | 27 (10) | 28,9 (11) | 38,5 (15) | 0,517 | |
Цетуксимаб, % (n больных) | 73 (27) | 71,1 (27) | 61,5 (24) | ||
Медиана ВАШ зуда (Q1; Q3) | 4 (3; 4) | 4 (3; 5) | 4 (3; 5) | 0,530 | |
Медиана ВАШ гиперчувствительности (Q1; Q3) | 2 (2; 3) | 3 (2; 4) | 3 (2; 4) | 0,071 | |
Медиана мДИКЖ (Q1; Q3) | 15 (13; 16) | 14 (12; 17) | 15 (12; 20) | 0,657 | |
В начальной точке исследования во всех группах преобладали пациенты с акнеподобной сыпью 2-й степени тяжести (CTCAE-NCI, v. 5.0). Медианы показателей выраженности субъективных симптомов (ВАШ зуда и гиперчувствительности) соответствовали «умеренному» уровню. Анализируя медианы показателей мДИКЖ, можно заключить, что на момент включения в исследование акнеподобная сыпь оказывала сильное влияние на качество жизни онкологических пациентов.
Основные результаты исследования
Оценка динамики разрешения папулопустулезных элементов в изучаемых группах. Достоверное снижение показателей шкалы тяжести акнеподобной сыпи отмечалось во всех сформированных группах уже к концу 1-й нед восстановительного лечения. Установленная положительная динамика в разрешении папулопустулезных элементов сохранялась вплоть до конца исследования (р < 0,05 в группах 1–3 во всех контрольных точках).
При оценке наличия достоверных межгрупповых различий показателей шкалы тяжести акнеподобной сыпи в контрольных точках исследования с применением критерия Краскела–Уоллиса и проведением попарного сравнения было установлено, что начиная с 1-й нед восстановительного лечения изучаемый показатель был достоверно ниже в группах 2 и 3 (группа 1 против группы 2, р < 0,001; группа 1 против группы 3, р < 0,001), однако между указанными группами значимых различий не наблюдалось (р = 0,210). Показатели шкалы тяжести акнеподобной сыпи в группах 2 и 3 на протяжении всего периода наблюдения не имели статистически значимых различий, но были достоверно ниже, чем в группе 1 (р < 0,001) (рис. 3).
Рис. 3. Сравнительный анализ эффективности схем восстановительного лечения в отношении разрешения папулопустулезных высыпаний по шкале тяжести акнеподобной сыпи, критерий Краскела–Уоллиса
Вторичная конечная точка — уменьшение показателей шкалы тяжести акнеподобной сыпи на 50% и более — была достигнута в группах 2 и 3 уже через 1 нед после начала лечения по разработанным схемам (соответственно 3 (2; 4) и 3 (3; 9)), а в группе 1 — на 2-й нед (3 (2; 4)). Первичная конечная точка исследования — полное или практически полное разрешение папулопустулезных элементов — была достигнута в группе 1 только к 8-й нед (1 (1; 2)), в то время как в группе 2 аналогичный результат отмечался на 4-й нед (1 (1; 1)), а в группе 3 — на 2-й нед (1 (1; 2)).
Исходя из полученных результатов можно заключить, что все разработанные схемы восстановительного лечения продемонстрировали эффективность в отношении разрешения акнеподобной сыпи. При этом проведение непрерывной наружной терапии кремом с ивермектином в сочетании с бальнеотерапией гипотонической термальной водой позволяет в наиболее короткие сроки достичь значимого уменьшения количества и полного разрешения папулопустулезных элементов.
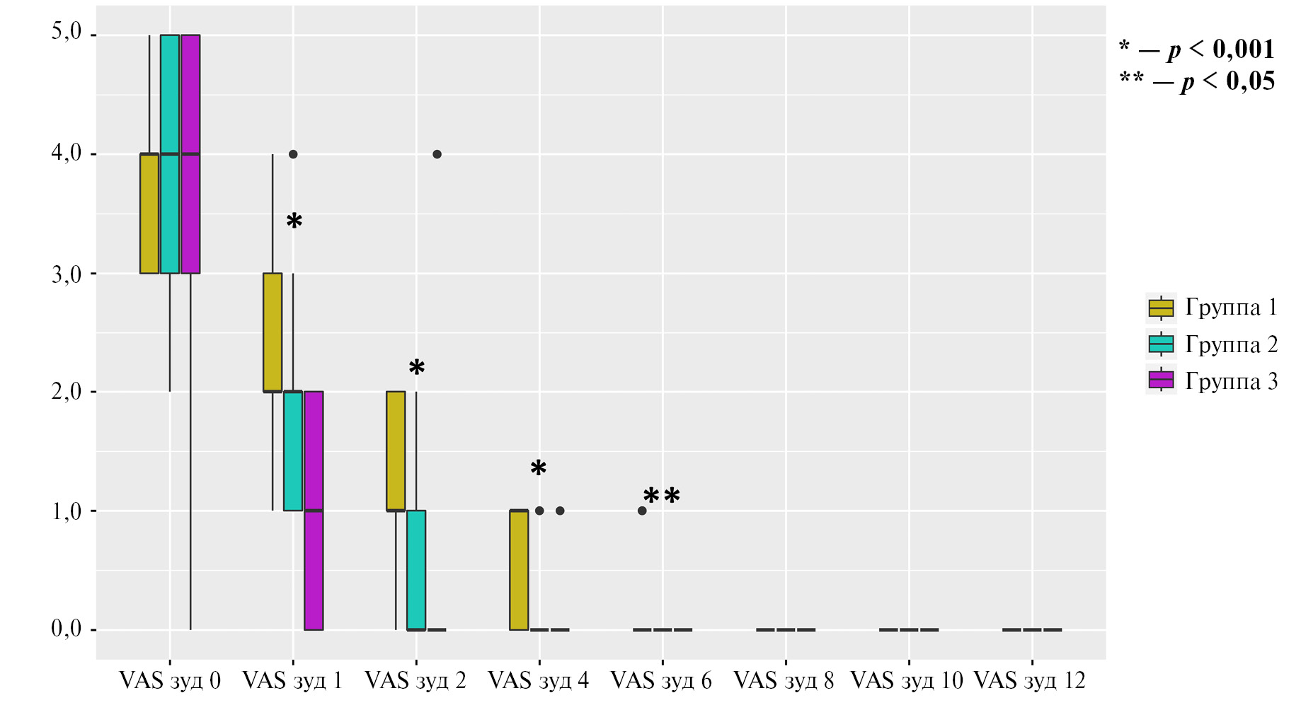
Оценка динамики разрешения субъективных симптомов акнеподобной сыпи — зуда и гиперчувствительности. В разрешении субъективных симптомов достоверная положительная динамика внутри групп наблюдалась уже к концу 1-й нед лечения и сохранялась до полного исчезновения зуда и гиперчувствительности (р < 0,001) (рис. 4, 5). При этом схемы лечения, включающие применение крема с ивермектином, позволяли в более короткие сроки достичь первичной конечной точки исследования: отсутствие гиперчувствительности в группах 2 и 3 отмечалось к концу 2-й нед; в группе 3 в данной точке также был полностью купирован зуд, в то время как в группе 2 аналогичный результат был достигнут только на 4-й нед. Наиболее медленный регресс зуда и гиперчувствительности отмечался в группе 1: к 6-й и 4-й нед соответственно. Проведение межгруппового и попарного сравнения подтвердило, что показатели ВАШ зуда в контрольных точках были достоверно наиболее низкими в группе 3, при этом в группе 2 они также были достоверно ниже, чем в группе 1 (см. рис. 4). Показатель ВАШ гиперчувствительности в точках исследования был достоверно наиболее высоким в группе 1, в то время как между группами 2 и 3 значимых различий не наблюдалось (см. рис. 5).
Рис. 4. Сравнительный анализ эффективности схем восстановительного лечения акнеподобной сыпи по ВАШ зуда, критерий Краскела–Уоллиса
Рис. 5. Сравнительный анализ эффективности схем восстановительного лечения акнеподобной сыпи по ВАШ гиперчувствительности, критерий Краскела–Уоллиса
Таким образом, хотя все схемы восстановительного лечения показали эффективность в купировании зуда и гиперчувствительности акнеподобной сыпи, наиболее быстрое разрешение всех субъективных симптомов наблюдалось у пациентов, получавших комплексное лечение с применением гипотонической термальной воды и крема с ивермектином.
Оценка влияния разработанных схем восстановительного лечения АПС на качество жизни онкологических пациентов. Высокая эффективность разработанных схем восстановительного лечения, безусловно, оказывала положительное влияние на качество жизни пациентов уже к концу 1-й нед (р < 0,001 во всех группах). Важно отметить, что в группе 3 в данной точке отмечалось снижение медианы показателя мДИКЖ практически в 2 раза — до 8 баллов (6; 10), что соответствует уровню «умеренного влияния на жизнь пациента». В группе 2 отмечалось статистически достоверное снижение медианы мДИКЖ до 10 баллов (8; 13), а в группе 1 — лишь до 12 баллов (10; 14) и у большинства пациентов показатель оставался на уровне «сильного» влияния на качество жизни. В последующих контрольных точках вплоть до конца исследования во всех группах отмечалось достоверное снижение мДИКЖ, отражающее улучшение качества жизни пациентов (р < 0,001 во всех группах). Вторичная точка исследования — снижение мДИКЖ на 50% и более — была достигнута в группе 2 к 4-й нед лечения (7 баллов (4; 9)), отражая улучшение качества жизни на одну ступень. В группе 1 также к 4-й нед медиана мДИКЖ снизилась до значения, соответствующего умеренному влиянию на жизнь пациента, и составила 9 баллов (6; 10), но достижение вторичной точки исследования отмечалось лишь на 6-й неделе (мДИКЖ — 7 баллов (5; 9)).
На момент завершения периода наблюдения (12-я неделя) медиана показателя мДИКЖ в группе 1 составила 5 баллов (4; 7); в группе 2 — 4 (3; 4); в группе 3 — 2 балла (0; 2). Можно заключить, что конечная точка исследования (мДИКЖ — 0–1 балла, заболевание не влияет на жизнь пациента) не была достигнута ни в одной группе, однако достоверно наиболее низкие показатели мДИКЖ отмечались в группе 3 (р < 0,001). Необходимо подчеркнуть, что в группе 2 к моменту окончания сопроводительной терапии состояние кожных покровов либо не влияло, либо оказывало незначительное влияние на качество жизни пациентов. В то же время в группе 1 у 46% пациентов (n = 17) мДИКЖ к концу исследования попадал в интервал 6–10 баллов, что соответствовало умеренному влиянию кожного процесса на качество жизни онкологических больных.
Сравнительный анализ в отношении показателей мДИКЖ установил, что достоверно более низкие значения отмечались в группе 3 начиная с 1-й нед восстановительного лечения вплоть до конца периода наблюдения (р < 0,05 во всех контрольных точках, рис. 6). К концу 1-й нед между группами 1 и 2 статистически значимых различий не наблюдалось (р = 0,231), однако в последующих контрольных точках значимо лучшие показатели индекса качества жизни отмечались у пациентов группы 2 по сравнению с показателями пациентов группы 1. На 12-й нед показатель мДИКЖ имел достоверные различия как по результатам анализа с использованием критерия Краскела–Уоллиса, так и при проведении парного теста (р < 0,001).
Рис. 6. Сравнительный анализ влияния разработанных схем восстановительного лечения акнеподобной сыпи на качество жизни онкологических пациентов по данным мДИКЖ, критерий Краскела–Уоллиса
Полученные результаты продемонстрировали, что комплексная схема восстановительного лечения акнеподобной сыпи, включающая крем с ивермектином и гипотоническую термальную воду в качестве непрерывной терапии, оказывает наиболее выраженное положительное влияние на качество жизни онкологических пациентов, получающих таргетную противоопухолевую терапию моноклональными антителами к EGFR.
Анализируя представленные результаты, можно заключить, что разработанные схемы восстановительного лечения акнеподобной сыпи показали свою эффективность в отношении объективных (папулопустулезные высыпания) и субъективных (зуд, гиперчувствительность) симптомов акнеподобной сыпи и позволяют улучшить качество жизни онкологических пациентов начиная с 1-й нед восстановительной терапии. В то же время применение разработанной комплексной схемы, включающей интермиттирующую терапию доксициклина моногидратом, комбинированным кремом бетаметазона валерата и фузидовой кислоты и непрерывную наружную терапию кремом с ивермектином и гипотонической термальной водой, позволяет в наиболее короткие сроки достичь полного или практически полного разрешения высыпаний и купировать субъективные симптомы. Применение данной схемы имело наиболее значимое положительное влияние на качество жизни пациентов, что было продемонстрировано динамикой индекса мДИКЖ, медиана которого уже к концу 1-й нед терапии снизилась практически в 2 раза, а к концу исследования достигла уровня 2 балла (0; 2) — кожное заболевание не влияло или оказывало незначительное влияние на жизнь онкологических пациентов. Важно отметить, что всем пациентам, получавшим восстановительное лечение акнеподобной сыпи по разработанным схемам, таргетная противоопухолевая терапия моноклональными антителами к EGFR была продолжена в полном объеме.
Нежелательные реакции
В ходе исследования ни в одной из групп не было зарегистрировано тяжелых нежелательных реакций на фоне проведения комплексного восстановительного лечения акнеподобной сыпи. У 2 пациентов, получавших лечение кремом с ивермектином (2,7%), отмечались местные нежелательные реакции — умеренная эритема и ощущение «жжения», которые самопроизвольно купировались и не потребовали отмены препарата или изменения режима сопроводительного лечения.
Обсуждение
Резюме основного результата исследования
В настоящем исследовании изучалась эффективность разработанных интермиттирующих схем восстановительного лечения акнеподобной сыпи у пациентов, получающих таргетную противоопухолевую терапию моноклональными антителами к EGFR, в том числе комплексных схем с применением медикаментозного и физиотерапевтического (бальнеотерапия) лечения. Установлено, что при проведении интермиттирующего лечения доксициклина моногидратом и комбинированного крема с фузидовой кислотой и бетаметазона валератом достоверно наиболее выраженное снижение интенсивности папулопустулезных высыпаний и ассоциированных субъективных симптомов отмечается уже с 1-й нед при проведении непрерывной наружной терапии кремом с ивермектином или кремом с ивермектином и гипотонической термальной водой по сравнению с непрерывной монобальнеотерапией (группа 1 против группы 2, р < 0,001; группа 1 против группы 3, р < 0,001). Добавление гипотонической термальной воды к крему с ивермектином при проведении наружной непрерывной терапии (группа 2 против группы 3) приводило к более быстрому разрешению зуда (купирование зуда у 100% пациентов в группе 3 на 2-й нед лечения, в группе 2 — на 4-й нед лечения). Достоверных различий в отношении показателей шТАПС и ВАШ гиперчувствительности при проведении попарного межгруппового сравнения в контрольных точках в группах 2 и 3 не отмечалось. Проведение восстановительного лечения акнеподобной сыпи по разработанным схемам повышало качество жизни онкологических больных (мДИКЖ, р < 0,001 в контрольных точках исследования в группах 1–3), приверженность проводимому противоопухолевому лечению и позволило продолжать таргетную терапию в полном объеме без редукции дозы ингибитора EGFR.
Обсуждение основного результата исследования
На сегодняшний день акнеподобная сыпь является наиболее изученной дерматологической нежелательной реакцией ингибиторов EGFR в отношении патогенеза и подходов к восстановительному лечению. Предполагается, что в связи с ингибированием EGFR-зависимых сигнальных путей базальных и супрабазальных кератиноцитов наблюдается ускоренная прежде- временная дифференцировка клеток с увеличением силы межклеточных контактов, снижением скорости миграции и пролиферации, индукцией апоптоза кератиноцитов с выделением провоспалительных цитокинов и хемокинов (ИЛ-1, ФНО-α, CCL-2, CCL-5, CCL-18, CCL-3, CCL-27 и CXC-14) [22, 23]. В результате формируется асептический воспалительный инфильтрат в поверхностных слоях дермы (59%), чаще смешанный инфильтрат (нейтрофилы, лимфоциты, эозинофилы) в области волосяных фолликулов (51,3%) и эпидермиса (35,9%) [22]. В связи с асептическим характером воспалительного процесса топические глюкокортикостероидные препараты являются базисными средствами наружной терапии акнеподобной сыпи согласно актуальным рекомендациям по поддерживающей терапии дерматологических нежелательных реакций противоопухолевой терапии [8, 9]. Высокая эффективность назначения полусинтетических тетрациклиновых препаратов в профилактике и лечении акнеподобной сыпи также обусловлена в первую очередь их противовоспалительной активностью (табл. 6) [24, 25].
Таблица 6. Механизмы противовоспалительной активности полусинтетических тетрациклинов — доксициклина и миноциклина [24, 25]
Непрямые механизмы | Прямые механизмы |
Ингибирование синтеза провоспалительных продуктов жизнедеятельности микроорганизмами | Ингибирование активности воспалительного процесса |
Снижение продукции липазы | Ингибирование хемотаксиса и миграции нейтрофилов |
Снижение продукции хемотактического фактора | Ингибирование митоген-индуцированной лимфоцитарной пролиферации |
Ингибирование активации и пролиферации Т-лимфоцитов | |
Ингибирование рецептора, ингибируемого протеазами-2 (PAR-2) | |
Ингибирование формирования гранулем (вероятный механизм — ингибирование протеинкиназы С) | |
Ингибирование матриксных металлопротеиназ (преимущественно ММР-2, ММР-3, ММР-8, ММР-9, ММР-13) | |
Повышение синтеза противовоспалительного цитокина ИЛ-10 | |
Ингибирование синтеза провоспалительных цитокинов — ИЛ-1β, ИЛ-6, ИЛ-8, ФНО-α | |
Ингибирование экспрессии и ускорение деградации синтазы оксида азота |
Несмотря на то что термин «акнеподобная сыпь» является общепринятым в отношении папулопустулезных элементов, развивающихся на фоне терапии ингибиторами EGFR, результаты некоторых исследований позволяют заключить, что данная нежелательная реакция имеет некоторое сходство с розацеа. P.A. Gerber et al. (2011) отмечали значительное увеличение плотности сапрофага Demodex folliculorum в биоптатах кожи пациентов с акнеподобной сыпью [11]. В работе Е.А. Шатохиной (2020) при ультразвуковом исследовании участков кожи в области папулопустулезных высыпаний было установлено усиление васкуляризации [13], что может являться одним из факторов, предрасполагающих к усилению колонизации D. folliculorum. Кроме того, при разрешении элементов акнеподобной сыпи наблюдаются стойкая эритема и телеангиэктазии [12, 23], также характерные для розацеа.
Широко применяемый при лечении розацеа ивермектин представляет собой противопаразитарный препарат с выраженным противовоспалительным действием [26]. В исследовании E. Ventre et al. (2016) на животных моделях было продемонстрировано, что топическое применение препарата ивермектина на очаги контактного дерматита приводило к клиническому и патоморфологическому разрешению воспалительного процесса. В контрольной группе животных, получавших лечение бетаметазона валератом 0,01%, также была установлена выраженная положительная динамика, однако отмечалось существенное истончение эпидермиса и дермы. Было отмечено, что применение ивермектина приводит к снижению уровня провоспалительных цитокинов и хемокинов (ИЛ-1β, CXCL- 1, CXCL-9), ингибированию пролиферации и активации Т1, Т2 и цитотоксических эффекторных Т-лимфоцитов [14]. Кроме того, в рандомизированном исследовании M.A. Schaller et al. (2020) было показано, что сочетанное применение доксициклина моногидрата и топического ивермектина позволяет повысить эффективность лечения розацеа и в более короткие сроки достичь ремиссии [27]. Полученные в настоящем исследовании результаты подтверждают целесообразность и высокую эффективность включения крема с ивермектином в восстановительное лечение акнеподобной сыпи.
Наблюдаемые на фоне ингибирования EGFR нарушение барьерной функции кожи, снижение экспрессии компонентов врожденной противомикробной защиты (кателицидина LL37, β-дефензина-3, рибонуклеазы-7) и белка плотных контактов клаудина-1 обусловливают достаточно высокий риск развития местных вторичных инфекционных процессов [12, 22, 23], что также необходимо учитывать при динамическом наблюдении за пациентами, получающими ингибиторы EGFR. Проведение наружной бальнеотерапии с применением гипотонической термальной воды с высоким содержанием цинка и бора может оказывать противовоспалительное действие и положительное влияние на процессы кератинизации [16, 17, 28]. Кроме того, в формирование терапевтических эффектов наружной бальнеотерапии термальными водами особый вклад вносят экстракты микроорганизмов. В частности, изучение влияния экстракта Aquaphilus dolomiae позволило установить его противовоспалительный эффект, связанный с модуляцией активности дендритных и тучных клеток, а также способность поддерживать целостность плотных контактов, что приводило к повышению барьерной функции кожи и резистентности в отношении золотистого стафилококка, играющего основную этиологическую роль при импетигинизации у онкологических пациентов [15]. На сегодняшний день проведение наружной бальнеотерапии с применением термальных вод возможно в домашних условиях (методики орошения кожи, влажного компресса), что существенно повышает приверженность данному виду физиотерапевтического лечения. По результатам настоящего исследования наибольшей эффективностью характеризуется схема комплексного лечения, включающая в качестве непрерывной наружной терапии применение крема с ивермектином и гипотонической термальной воды, что, наиболее вероятно, обусловлено суммацией противовоспалительных эффектов составляющих метода.
Ограничения исследования
На этапе планирования исследования была отмечена необходимость совершенствования шкал оценки степени тяжести акнеподобной сыпи, поскольку широко применяемые общие терминологические критерии (CTCAE-NCI) [18] не учитывают непосредственно клинические характеристики активности кожного патологического процесса. С целью объективизации полученных клинических результатов была разработана шкала тяжести акнеподобной сыпи, показатели которой выступали в качестве первичной конечной точки. Поскольку данная шкала не применялась исследователями ранее, не представлялось возможным оценить распределение показателя в изучаемой популяции пациентов, выдвинуть предположение об ожидаемой вероятности и временных интервалах достижения конечной точки (шТАПС 0–1 балла), что повлияло на возможность формулировки статистической гипотезы. Необходима валидизация разработанной шкалы тяжести акнеподобной сыпи с проведением оценки надежности (межэкспертная оценка, метод test–retest) для использования в дальнейших исследованиях. Полученные результаты в последующем могут быть использованы при планировании проспективных исследований, основанных на предварительной оценке объема выборки и обладающих большей мощностью.
В группе сравнения лечение акнеподобной сыпи проводилось по интермиттирующей схеме, которая в соответствии с результатами исследования Е.А. Шатохиной (2020) продемонстрировала превосходство в достижении клинического эффекта, переносимости и комплаентности у онкологических больных [10] по сравнению со «стандартной» схемой лечения (практические рекомендации по лекарственному лечению дерматологических реакций у пациентов, получающих противоопухолевую лекарственную терапию, Российского общества клинической онкологии RUSSCO [8]). Проведение попарного сравнительного анализа эффективности интермиттирующих схем, включающих наружное лечение ивермектином, со схемой лечения в соответствии с практическими рекомендациями RUSSCO позволит сделать аргументированное заключение о наличии или отсутствии преимуществ разработанных в настоящем исследовании подходов к лечению акнеподобной сыпи по сравнению со «стандартными». В сформированных группах пациенты, помимо моноклональных антител к EGFR, получали различные химиотерапевтические препараты (режим противоопухолевой терапии определялся врачом-онкологом). Межгрупповой анализ в отношении не-EGFR-противоопухолевой терапии в настоящей работе не проводился, поскольку акнеподобная сыпь является класс-специфической дерматологической нежелательной реакцией ингибиторов EGFR.
Принимая во внимание проведение множественных межгрупповых сравнений, целесообразно продолжение исследования с целью увеличения размера выборки для повышения статистической мощности результатов.
Заключение
Восстановительное лечение нежелательных реакций противоопухолевой терапии — важный этап ведения пациентов в современной онкологии. В связи с ростом заболеваемости раком толстой и прямой кишки, немелкоклеточным раком легкого, опухолями головы и шеи отмечается увеличение числа пациентов, получающих таргетную противоопухолевую терапию ингибиторами EGFR [29]. До настоящего времени не теряет своей актуальности разработка оптимальных схем лечения акнеподобной сыпи — ведущей дерматологической нежелательной реакции ингибиторов EGFR. Разработанные интермиттирующие схемы восстановительного лечения акнеподобной сыпи продемонстрировали свою высокую эффективность в отношении разрешения папулопустулезной сыпи и ассоциированных субъективных симптомов, что подтверждается значимым улучшением качества жизни онкологических пациентов. Важным преимуществом разработанных схем является интермиттирующее применение доксициклина моногидрата и комбинированного топического препарата, что позволяет, с одной стороны, уменьшить общую фармакологическую нагрузку, а с другой — снизить длительность применения топических глюкокортикостероидов. Включение в схемы лечения акнеподобной сыпи крема с ивермектином и наружной бальнеотерапии с применением гипотонической термальной воды в качестве непрерывной наружной терапии позволяет не только усиливать противовоспалительное действие препаратов интермиттирующей терапии, но и безопасно поддерживать достигнутый клинический эффект на протяжении длительного периода наблюдения.
Дополнительная информация
Источник финансирования. Исследование и публикация статьи осуществлены на личные средства авторского коллектива.
Конфликт интересов. Авторы данной статьи подтвердили отсутствие конфликта интересов, о котором необходимо сообщить.
Участие авторов. Л.С. Круглова — концепция, разработка дизайна исследования, научное редактирование и утверждение окончательной версии статьи; Е.А. Шатохина — концепция, разработка дизайна исследования, научное редактирование; А.С. Полонская — сбор и анализ литературных данных, формирование групп пациентов, регистрация клинических исходов, статистическая обработка полученных результатов, написание текста статьи. Все авторы внесли существенный вклад в проведение поисково-аналитической работы и подготовку статьи, прочли и одобрили финальную версию до публикации.
About the authors
Larisa S. Kruglova
Central State Medical Academy of Department of Presidential Affairs of the Russian Federation
Author for correspondence.
Email: kruglovals@mail.ru
ORCID iD: 0000-0002-5044-5265
MD, PhD, Professor
Russian Federation, MoscowEugenia A. Shatokhina
Central State Medical Academy of Department of Presidential Affairs of the Russian Federation; Medical Center of M.V. Lomonosov Moscow State University
Email: e.a.shatokhina@gmail.com
ORCID iD: 0000-0002-0238-6563
MD, PhD, Assistant Professor
Russian Federation, Moscow; MoscowAleksandra S. Polonskaia
Central State Medical Academy of Department of Presidential Affairs of the Russian Federation
Email: dr.polonskaia@gmail.com
ORCID iD: 0000-0001-6888-4760
MD, PhD
Russian Federation, MoscowReferences
- Seebacher NA, Stacy AE, Porter GM, et al. Clinical development of targeted and immune based anti-cancer therapies. J Exp Clin Cancer Res. 2019;38(1):156. doi: https://doi.org/10.1186/s13046-019-1094-2
- Федянин М.Ю., Гладков О.А., Гордеев С.С., и др. Практические рекомендации по лекарственному лечению рака ободочной кишки, ректосигмоидного соединения и прямой кишки // Злокачественные опухоли: Практические рекомендации RUSSCO. — 2022. — Т. 12. — № 3s2. — С. 401–454. [Fedyanin MY, Gladkov OA, Gordeev SS, et al. Practice guidelines for the drug treatment of cancer of the colon, rectosigmoid junction and rectum. Malignant Tumors: Practical Recommendations RUSSCO. 2022;12(3s2):401–454. (In Russ.)] doi: https://doi.org/10.18027/2224-5057-2022-12-3s2-401-454
- Лактионов К.К., Артамонова Е.В., Бредер В.В., и др. Практические рекомендации по лекарственному лечению немелкоклеточного рака легкого // Злокачественные опухоли: Практические рекомендации RUSSCO. — 2022. — Т. 12. — № 3s2. — С. 41–59. [Laktionov KK, Artamonova EV, Breder VV, et al. Practical guidelines for drug treatment of non-small cell lung cancer. Malignant Tumors: Practical Recommendations RUSSCO. 2022;12(3s2):41–59. (In Russ.)] doi: https://doi.org/10.18027/2224-5057-2022-12-3s2-41-59
- Болотина Л.В., Владимирова Л.Ю., Деньгина Н.В., и др. Практические рекомендации по лечению злокачественных опухолей головы и шеи // Злокачественные опухоли: Практические рекомендации RUSSCO. — 2022. — Т. 12. — № 3s2. — С. 94–112. [Bolotina LV, Vladimirova LY, Dengina N.V., et al. Practical recommendations for the treatment of malignant head and neck tumors. Malignant Tumors: Practical Recommendations RUSSCO. 2022;12(3s2):94–112. (In Russ.)] doi: https://doi.org/10.18027/2224-5057-2022-12-3s2-94-112
- Полонская А.С., Шатохина Е.А., Круглова Л.С. Дерматологические нежелательные явления ингибиторов рецептора эпидермального фактора роста: современный взгляд на междисциплинарную проблему // Опухоли головы и шеи. — 2021. — Т. 4. — № 11. — С. 97–109. [Polonskaia AS, Shatokhina EA, Kruglova LS. Dermatologic adverse events associated with epidermal growth factor receptor inhibitors: current concepts of interdisciplinary problem. Head and Neck Tumors (HNT). 2021;11(4):97–109. (In Russ.)] doi: https://doi.org/10.17650/2222-1468-2021-11-4-97-109
- Hu JC, Sadeghi P, Pinter-Brown LC, et al. Cutaneous side effects of epidermal growth factor receptor inhibitors: clinical presentation, pathogenesis, and management. J Am Acad Dermatol. 2007;56(2):317–326. doi: https://doi.org/10.1016/j.jaad.2006.09.005
- Boone SL, Rademaker A, Liu D, et al. Impact and management of skin toxicity associated with anti-epidermal growth factor receptor therapy: survey results. Oncology. 2007;72(3–4):152–159. doi: https://doi.org/10.1159/000112795
- Королева И.А., Болотина Л.В., Гладков О.А., и др. Практические рекомендации по лекарственному лечению дерматологических реакций у пациентов, получающих противоопухолевую лекарственную терапию // Злокачественные опухоли: Практические рекомендации RUSSCO. — 2022. — Т. 12. — № 3s2. — С. 101–122. [Koroleva IA, Bolotina LV, Gladkov AA, et al. Practice guidelines for the treatment of dermatological reactions in patients receiving antitumor drug therapy. Malignant Tumors: Practical Recommendations RUSSCO. 2022;12(3s2):101–122. (In Russ.)] doi: https://doi.org/10.18027/2224-5057-2022-12-3s2-101-122
- Lacouture ME, Sibaud V, Gerber PA, et al. Prevention and management of dermatological toxicities related to anticancer agents: ESMO Clinical Practice Guidelines☆. Ann Oncol. 2021;32(2):157–170. doi: https://doi.org/10.1016/j.annonc.2020.11.005
- Шатохина Е.А., Круглова Л.С., Полонская А.С. Лечение акнеподобной сыпи, индуцированной моноклональными антителами к рецептору эпидермального фактора роста (EGFR) // Медицинский Совет. — 2020. — № 20. — С. 157–164. [Shatokhina E.A., Kruglova L.S., Polonskaia A.S. Management of acneiform rash associated with anti-EGFR monoclonal antibody treatment. Meditsinskiy sovet = Medical Council. 2020;20:157–164. (In Russ.)] doi: https://doi.org/10.21518/2079-701X-2020-20-157-164
- Gerber PA, Kukova G, Buhren BA, et al. Density of Demodex folliculorum in patients receiving epidermal growth factor receptor inhibitors. Dermatology. 2011;222(2):144–147. doi: https://doi.org/10.1159/000323001
- Lacouture ME. Dermatologic principles and practice in oncology: conditions of the skin, hair, and nails in cancer patients. John Wiley & Sons; 2014. 440 p.
- Шатохина Е.А. Восстановительное лечение пациентов с дерматологическими нежелательными явлениями таргетной противоопухолевой терапии: дис. ... д-ра мед. наук. — М., 2020. — 321 с. [Shatokhina EA. Supportive treatment of patients with dermatological adverse events of targeted antitumor therapy: dissertation of the Doctor of Medical Sciences. Moscow; 2020. 321 p.]
- Ventre E, Rozières A, Lenief V, et al. Topical ivermectin improves allergic skin inflammation. Allergy. 2017;72(8):1212–1221. doi: https://doi.org/10.1111/all.13118
- Galliano MF, Bäsler K, Caruana A, et al. Protective effect of Aquaphilus dolomiae extract-G1, ADE-G1, on tight junction barrier function in a Staphylococcus aureus-infected atopic dermatitis model. J Eur Acad Dermatol Venereol. 2020;34(Suppl 5):30–36. doi: https://doi.org/10.1111/jdv.16516
- Zöller N, Valesky E, Hofmann M, et al. Impact of Different Spa Waters on Inflammation Parameters in Human Keratinocyte HaCaT Cells. Ann Dermatol. 2015;27(6):709–714. doi: https://doi.org/10.5021/ad.2015.27.6.709
- Eliasse Y, Redoules D, Espinosa E. Impact of Avène Thermal Spring Water on immune cells. J Eur Acad Dermatol Venereol. 2020;34(Suppl 5):21–26. doi: https://doi.org/10.1111/jdv.16335
- Common terminology criteria for adverse events (CTCAE) version 4.0 (May 28, 2009). US Department of Health and Human Services, et al.; National Institute of Health, National Cancer Institute, v. 4.03. 2010. Available from: https://evs.nci.nih.gov/ftp1/CTCAE/CTCAE_4.03/CTCAE_4.03_2010-06-14_QuickReference_8.5x11.pdf
- Отдельнова К.А. Определение необходимого числа наблюдений в социально-гигиенических исследованиях // Сб. трудов 2-го ММИ. — 1980. — Т. 150. — Вып. 6. — С. 18–22. [Otdelnova KA. Determination of the necessary number of observations in socio-hygienic research. Proceedings of the 2nd MMI. 1980;150:18–22. (In Russ.)]
- Гланц С. Медико-биологическая статистика. — М.: Практика, 1998. — 460 с. [Glantz S. Medico-Biological Statistics. Moscow: Praktika; 1998. 460 p. (In Russ.)]
- Crichtlow D. E., Fligner M.A. On distribution-free multiple comparisons in the one-way analysis of variance. Communications in Statistics —Theory and Methods. 1991;20(1):3739–3747. Available from: https://www.scinapse.io/papers/1969849879
- Bellini V, Bianchi L, Pelliccia S, et al. Histopathologic features of erythematous papulopustular eruption to epidermal growth factor receptor inhibitors in cancer patients. J Cutan Pathol. 2016;43(3):211–218. doi: https://doi.org/10.1111/cup.12630
- Lacouture ME. Mechanisms of cutaneous toxicities to EGFR inhibitors. Nat Rev Cancer. 2006;6(10):803–812. doi: https://doi.org/10.1038/nrc1970
- Henehan M, Montuno M, De Benedetto A. Doxycycline as an anti-inflammatory agent: updates in dermatology. J Eur Acad Dermatol Venereol. 2017;31(11):1800–1808. doi: https://doi.org/10.1111/jdv.14345
- Garrido-Mesa N, Zarzuelo A, Gálvez J. Minocycline: far beyond an antibiotic. Br J Pharmacol. 2013;169(2):337–352. doi: https://doi.org/10.1111/bph.12139
- Zargari O, Aghazadeh N, Moeineddin F. Clinical applications of topical ivermectin in dermatology. Dermatol Online J. 2016;22(9):13030/qt1kq4p7pp.
- Schaller M, Kemény L, Havlickova B, et al. A randomized phase 3b/4 study to evaluate concomitant use of topical ivermectin 1% cream and doxycycline 40-mg modified-release capsules, versus topical ivermectin 1% cream and placebo in the treatment of severe rosacea. J Am Acad Dermatol. 2020;82(2):336–343. doi: https://doi.org/10.1016/j.jaad.2019.05.063
- Lehen’kyi V, Vandenberghe M, Belaubre F, et al. Acceleration of keratinocyte differentiation by transient receptor potential vanilloid (TRPV6) channel activation. J Eur Acad Dermatol Venereol. 2011;25(Suppl 1):12–18. doi: https://doi.org/10.1111/j.1468-3083.2010.03894.x
- Каприн А.Д., Старинский В.В., Шахзадова А.О. Злокачественные новообразования в России в 2021 году (заболеваемость и смертность). — М.: МНИОИ им. П.А. Герцена, 2022. — 252 с. [Kaprin AD, Starinsky VV, Shakhzadova AO. Malignant neoplasms in Russia in 2021 (morbidity and mortality). Moscow: Herzen Scientific Research Institute of Interventional Immunology; 2022. 252 p. (In Russ.)]
Supplementary files










