Association of Calcium Index and Myocardial Blood Flow in Non-Obstructive Atherosclerotic Lesion of the Coronary Arteries
- Authors: Maltseva A.N.1, Kopeva K.V.1, Mochula A.V.1, Grakova E.V.1, Zavadovsky K.V.1, Popov S.V.1
-
Affiliations:
- Cardiology Research Institute, Tomsk National Research Medical Center, Russian Academy of Sciences
- Issue: Vol 78, No 2 (2023)
- Pages: 85-95
- Section: CARDIOLOGY AND CARDIOVASCULAR SURGERY: CURRENT ISSUES
- Published: 24.05.2023
- URL: https://vestnikramn.spr-journal.ru/jour/article/view/3513
- DOI: https://doi.org/10.15690/vramn3513
- ID: 3513
Cite item
Full Text
Abstract
Background. Over the past few years, scientific data have demonstrated that patients with non-obstructive coronary artery disease can have high risk for adverse cardiovascular events (ACE) despite the absence of severe coronary obstruction. From this point of view, some patients require special monitoring and treatment; we have to find new methods for stratification of the risk of ACE. Aims — to study the association of coronary artery calcification (CCA) with indicators of myocardial blood flow (MBF) and myocardial flow reserve (MFR) in patients with non-obstructive coronary artery disease (CAD). Methods. The study included patients (n = 52) with non-obstructive CAD (< 50%), identified by CCTA. All patients received dynamic myocardial SPECT according to the two-day “rest-stress” protocol with the radiopharmaceutical agent 99mTc-methoxy-isobutyl-isotnitrile and the pharmacological stress-test (adenosine triphosphate 160 mcg/kg/min) to determine quantitative indicators of MBF and MFR. Depending on the calcium index (CI), three groups of patients were formed: 1 — without CCA (CI = 0 Agatston units), 19 patients; 2 — Mild CCA (CI = 1–100 Agatston units), 21 patients; 3 — Moderate CCA (CI = 101–400 Agatston units), 12 patients. Results. The study included 52 patients (age 55.0 ± 9.8 years, 36 men). The groups differed statistically significantly (p < 0.05) in terms of quantitative scintigraphic parameters: stress-MBF, MFR and ΔMBF. When analyzing the groups in pairs, it was found that stress-MBF and ΔMBF were significantly lower in the group with moderate CCA compared to the group without CCA, and MFR was lower in the group with moderate CCA compared to the groups without CCA and with mild CCA. Correlation analysis revealed significant relationships between CI and scintigraphic parameters: stress-MBF (ρ = –0.46; p = 0.003), MFR (ρ = –0.48; p = 0.001), ΔMBF (ρ = –0.48; p = 0.0008), SSS (ρ = 0.34; p = 0.02) and SDS (ρ = 0.28; p = 0.046). Conclusions. Even with non-obstructive CAD, identified by CCTA, there is a decrease in MBF and MFR inversely proportional to the level of CI, which can be considered as an early marker of impaired vasodilation reserve of the vascular wall, which develops in atherosclerosis of the coronary artery.
Full Text
Обоснование
За последние несколько лет появились данные, демонстрирующие, что даже в отсутствие тяжелой обструкции коронарного русла у пациентов с необструктивным атеросклеротическим поражением коронарных артерий (< 50%) имеется значимый риск развития неблагоприятных сердечно-сосудистых событий (НССС) [1]. С этой точки зрения к таким пациентам необходимо относиться весьма настороженно и искать новые пути стратификации риска и предупреждения развития НССС.
Метаболическое нарушение обмена липидов между печенью и кровеносными сосудами приводит к образованию атеросклеротических бляшек в аорте и ее ветвях, которые в дальнейшем проходят трансформацию от мягкотканной структуры к кальцинированной. M. Havel et al. показали, что пациенты с высоким содержанием кальция в коронарных артериях имеют большую вероятность наличия обструктивного стенозирования коронарных артерий и выраженной стресс-индуцированной ишемии [2]. Количественная оценка кальциноза коронарных артерий путем получения значения кальциевого индекса (КИ) по данным мультиспиральной компьютерной томографии сердца входит как в европейские, так и российские рекомендации по лечению стабильной ишемической болезни сердца (ИБС) и является информативным и простым для использования методом исследования [3–5].
При необструктивном атеросклеротическом поражении коронарных артерий возможно развитие микроваскулярной дисфункции (МД), которая представляет собой снижение эндотелий-зависимой вазодилатации и усиление вазоконстрикторного эффекта вследствие влияния факторов риска сердечно-сосудистых заболеваний (ССЗ) [6, 7]. Поэтому при необструктивном атеросклеротическом поражении коронарных артерий нужно уделять внимание не только анатомической оценке коронарного русла, но и диагностическим исследованиям, направленным на выявление МД, это поможет в будущем проводить дополнительную селекцию и выделять пациентов повышенного риска.
Радионуклидные методы исследования, в частности позитронная эмиссионная томография (ПЭТ) и динамическая однофотонная эмиссионная компьютерная томография (ОФЭКТ), открыли возможность проводить неинвазивную оценку регионального и глобального мио-кардиального кровотока (МК) в абсолютных значениях (мл/мин/г) и резерва миокардиального кровотока (РМК), что позволяет идентифицировать МД [8, 9].
Ранее было показано, что сниженные значения МК и РМК по данным ПЭТ ассоциированы с коронарным кальцинозом и между ними существует слабой силы обратная корреляция [10–12]. Хотя исследования МК и РМК при помощи ПЭТ хорошо клинически валидизированы и имеют прогностическую значимость, их широкому применению препятствуют высокая стоимость и низкая доступность данного метода. Альтернативный подход к изучению МК и РМК — использование технологии динамической ОФЭКТ на гамма-камерах с полупроводниковыми кадмий-цинк-теллуровыми детекторами (CZT) [8]. В то же время отсутствуют работы по изучению взаимоотношений между коронарным кальцинозом и показателями МК и РМК, полученных методом динамической CZT ОФЭКТ миокарда, у пациентов с необструктивным атеросклеротическим поражением коронарных артерий.
Цель исследования — изучить ассоциацию кальциноза коронарных артерий с показателями миокардиального кровотока и резерва у пациентов с необструктивным атеросклеротическим поражением коронарных артерий.
Методы
Дизайн исследования
В проспективное исследование вошли пациенты с подозрением на стабильную ИБС, которым в 2020–2022 гг. с целью диагностики атеросклероза коронарных артерий была выполнена мультиспиральная компьютерная томография сердца по протоколу определения кальциноза коронарных артерий и коронарной ангиографии (МСКТ-КГ). Для дальнейшего анализа отобраны пациенты с необструктивным атеросклеротическим поражением коронарных артерий (< 50%).
Критерии соответствия
Критерии исключения: обструктивное поражение коронарных артерий (≥ 50%); КТ-признаки гипертрофии или дилатации левого желудочка (ЛЖ); фракция выброса ЛЖ (ФВ ЛЖ) < 50%; неконтролируемая/резистентная артериальная гипертензия; декомпенсированный сахарный диабет первого/второго типа; морбидное ожирение (ИМТ ≥ 40 кг/м2); хроническая болезнь почек > 2 стадии (СКФ < 60 мл/мин/1,73м2); инфаркт миокарда в анамнезе; состояние после реваскуляризации миокарда; наличие врожденной/приобретенной клапанной патологии; кардиомиопатии; воспалительные заболевания миокарда; противопоказания к введению аденозинтрифосфата.
Условия проведения
В соответствии с научным протоколом всем пациентам, отвечающим указанным критериям, были выполнены анализ липидного профиля и перфузионная сцинтиграфия миокарда (по двухдневному протоколу «покой–нагрузка») с динамической записью первого прохождения болюса радиофармацевтического препарата по камерам сердца и определением количественных показателей МК и РМК.
Описание медицинского вмешательства
Все исследования были выполнены на гибридном томографе Discovery NM/CT 570с (GE Healthcare, Milwaukee, WI, USA), оснащенном КТ-частью с 64 рядами детекторов и ОФЭКТ-частью с высокочувствительными полупроводниковыми кадмий-цинк-теллуровыми детекторами (CZT-детекторы).
Количественная оценка кальциноза коронарных артерий
Для определения КИ выполняли бесконтрастную компьютерную томографию области сердца с проспективной ЭКГ-синхронизацией и дальнейшей реконструкцией в 75% фазу R–R-интервала сердечного цикла. Запись проводили от уровня бифуркации трахеи до диафрагмы с задержкой дыхания (6–8 с) в пошаговом режиме с толщиной срезов 2,5 мм и временем вращения трубки 0,4 с. Напряжение в трубке — 120 кВ, сила тока — 435 мА. Лучевая нагрузка исследования составила 0,68 мЗв.
Анализ КИ проводили по методу Агатстона на рабочей станции AdvantageWorkstations 4.7 (GE Healthcare, Milwaukee, WI, USA) в программе SmartScore 4.0 (в ед. Агатстона) [13]. В результате обработки получили данные о кальцинозе коронарных артерий по сосудистым регионам (ствол левой коронарной артерии, передняя нисходящая артерия, огибающая артерия и правая коронарная артерия) и суммарно по коронарному руслу.
Динамическая ОФЭКТ миокарда
Подготовка пациентов, протокол исследования, запись, обработка стандартных и динамических сцинтиграфических данных подробно изложены в предыдущих работах [14].
Динамическую ОФЭКТ проводили по двухдневному протоколу «покой–нагрузка» с радиофармацевтическим препаратом 99mTc-метокси-изобутил-изотнитрил; для проведения нагрузочной пробы использовали инфузию аденозинтрифосфата (160 мкг/кг/мин) в течение 4 мин.
Для получения абсолютных значений МК использовали модель Net Retention с коррекцией аттенюации. Параметры математической модели подробно описаны нами ранее [14]. Анализ проводили с использованием программного обеспечения 4DM Reserve v. 2015 и Corridor 4DM SPECT (INVIA, Ann Arbor, MI, USA).
В результате постпроцессинговой обработки получили глобальные и регионарные сцинтиграфические данные, отражающие миокардиальную перфузию и кровоток. Регионарные показатели рассчитывали по сосудистым бассейнам, соответствующим передней нисходящей, огибающей и правой коронарным артериям. По данным стандартной перфузионной сцинтиграфии миокарда (ПСМ) оценили глобальные (SSS, SRS, SDS) и регионарные (SS, RS, DS) индексы, по данным динамической ОФЭКТ — количественные глобальные и регионарные показатели: миокардиальный кровоток при нагрузке (стресс-МК), миокардиальный кровоток в покое (покой-МК), резерв миокардиального кровотока (РМК): отношение стресс-МК/покой-МК, разница между стресс-МК и покой-МК (ΔМК). Дополнительно определяли сцинтиграфические параметры функции ЛЖ при нагрузке: ФВ ЛЖ, конечно-диастолический объем (КДО), конечно-систолический объем (КСО).
Анализ в подгруппах
В зависимости от тяжести кальциноза коронарных артерий были сформированы три группы пациентов: 1 — без кальциноза коронарных артерий (КИ = 0 ед. Агатстона); 2 — кальциноз коронарных артерий легкой степени (КИ = 1–100 ед. Агатстона); 3 — кальциноз коронарных артерий умеренной степени (КИ = 101–400 ед. Агатстона).
Этическая экспертиза
Исследование выполнено в соответствии с положением Хельсинкской декларации, научный протокол одобрен локальным комитетом по биомедицинской этике (протокол № 204 от 18 ноября 2020 г.). Все пациенты дали письменное информированное согласие для участия в исследовании. Анализ диагностических изображений выполнен с использованием научно-исследовательского оборудования «Медицинская геномика» на базе Центра коллективного пользования.
Статистический анализ
Принципы расчета размера выборки. Согласно литературным данным, статистическая мощность исследования объема выборки составила p = 0,8–0,9.
Методы статистического анализа данных. Статистическую обработку результатов проводили в программах Statistica 10.0 (StatSoft Inc, Tusla, OK, USA) и Jamovi ver. 2.2.5.0 (The Jamovi Project, Australia). Для проверки нормальности выборочных значений использовали критерий Шапиро–Уилка. При описании количественных показателей использовали среднее значение (M) и стандартное отклонение (SD) для выборок, подчиняющихся нормальному закону распределения; медиану (Me) и межквартильные интервалы (Q25%; Q75%) для выборок, не подчиняющихся закону нормального распределения. Качественные данные представляли абсолютными и относительными частотами (%). Анализ статистической значимости межгрупповых различий проводили с помощью непараметрического критерия Краскела–Уоллиса и Геймса–Хоуэлла для количественных признаков и критериев χ2 Пирсона и Фишера для качественных признаков. Для анализа корреляционных связей использовали коэффициент корреляции Спирмена. Статистически значимыми считали различия при p < 0,05.
Результаты
Объекты (участники) исследования
В исследование было включено 52 пациента (возраст — 55,0 ± 9,8 года, 36 мужчин), соответствующих критериям включения и исключения. Клиническая характеристика пациентов представлена в табл. 1. Группу без кальциноза коронарных артерий составили 19 пациентов (возраст — 49,7 ± 8,0 года, 14 мужчин); группу с легким кальцинозом коронарных артерий — 21 пациент (возраст — 55,7 ± 10,0 года, 16 мужчин); группу с умеренным кальцинозом коронарных артерий — 12 пациентов (возраст 62,2 ± 7,6 года, 6 мужчин). Пациенты с умеренным кальцинозом коронарных артерий были статистически значимо старше по сравнению с таковыми в первой и второй группах (p = 0,001). По частоте наличия факторов риска ССЗ группы статистически значимо не различались, кроме факта курения, за счет отсутствия курящих пациентов в группе с умеренным ККА (n = 12, мужчин 50%).
Таблица 1. Клиническая характеристика пациентов
Показатель | Все пациенты (n = 52) | I группа: КИ 0 (n = 19) | II группа: КИ 1–100 (n = 21) | III группа: КИ 101–400 (n = 12) | Критерий Краскела–Уоллиса (p-value) |
Возраст, годы | 55,0 ± 9,8 | 49,7 ± 8,0 | 55,7 ± 10,0 | 62,2 ± 7,6 | 0,001 |
Мужской пол, n (%) | 36 (69) | 14 (74) | 16 (76) | 6 (50) | 0,25 |
Артериальная гипертензия, n (%) | 39 (75) | 12 (63) | 17 (81) | 10 (83) | 0,13 |
САД, мм рт. ст. | 120,0 (120,0; 130,0) | 125,0 (120,0; 130,0) | 120,0 (115,0; 130,0) | 120,0 (120,0; 140,0) | 0,66 |
ДАД, мм рт. ст. | 80,0 (75,0; 80,0) | 80,0 (80,0; 80,0) | 80,0 (75,0; 80,0) | 80,0 (70,0; 80,0) | 0,65 |
Дислипидемия (на момент исследования), n (%) | 30 (58) | 12 (63) | 15 (71) | 3 (25) | 0,03 |
ОХС, ммоль/л | 4,8 (3,8; 6,0) | 5,3 (3,4; 6,1) | 4,9 (4,3; 6,4) | 4,0 (3,6; 4,9) | 0,2 |
ХС ЛПНП, ммоль/л | 2,9 (1,7; 3,7) | 3,3 (1,7; 3,8) | 3,0 (2,5; 3,6) | 1,8 (1,5; 2,6) | 0,16 |
Курение, n (%) | 15 (29) | 6 (32) | 9 (43) | 0 (0) | 0,03 |
Отягощенная наследственность, n (%) | 35 (67) | 12 (63) | 17 (81) | 6 (50) | 0,21 |
Ожирение (ИМТ ≥ 30,0 кг/м2), n (%) | 17 (33) | 6 (32) | 5 (24) | 6 (50) | 0,24 |
ИМТ, кг/м2 | 28,7 (27,2; 30,9) | 28,6 (28,1; 30,5) | 28,4 (27,0; 30,1) | 30,5 (27,4; 33,4) | 0,29 |
Нарушение толерантности к глюкозе, n (%) | 5 (10) | 0 (0) | 4 (19) | 1 (8) | 0,11 |
Сахарный диабет 2 типа, n (%) | 4 (8) | 0 (0) | 2 (10) | 2 (17) | 0,19 |
Глюкоза, ммоль/л | 5,8 (5,5; 6,2) | 5,7 (5,1; 6,2) | 6,1 (5,5; 6,5) | 5,6 (5,4; 6,1) | 0,23 |
ФВ ЛЖ (по данным Эхо-КГ), % | 66,0 (64,0; 67,0) | 65,5 (64,5; 67,5) | 66,0 (64,0; 67,0) | 65,0 (65,0; 67,0) | 0,92 |
Медикаментозная терапия | |||||
Бета-адреноблокаторы, n (%) | 20 (38) | 5 (26) | 11 (52) | 4 (33) | 0,18 |
иАПФ, n (%) | 12 (23) | 5 (26) | 4 (19) | 3 (25) | 0,86 |
БРА II, n (%) | 7 (13) | 1 (5) | 4 (19) | 2 (17) | 0,37 |
Диуретики, n (%) | 4 (8) | 0 (0) | 3 (14) | 1 (8) | 0,23 |
Статины, n (%) | 28 (54) | 10 (53) | 8 (38) | 10 (83) | 0,02 |
Доля больных, достигших целевых значений липидного профиля на фоне терапии статинами, n (%) | 19 (68) | 7 (70) | 4 (50) | 8 (80) | 0,39 |
Антагонисты кальциевых каналов, n (%) | 10 (19) | 2 (11) | 4 (19) | 4 (33) | 0,23 |
Примечание. n — количество пациентов; p-value — уровень статистической значимости; БРА II — блокаторы рецепторов ангиотензина; ДАД — диастолическое артериальное давление; иАПФ — ингибиторы ангиотензинпревращающего фермента; ИМТ — индекс массы тела; КИ — коронарный индекс, ед. Агатстона; ОХС — общий холестерин; САД — систолическое артериальное давление; ФВ ЛЖ — фракция выброса левого желудочка; ХС ЛПНП — холестерин липопротеины низкой плотности; Эхо-КГ — эхокардиография.
По данным анализа липидного профиля в сыворотке крови (на момент проведения исследования) отмечалось статистически значимое (p = 0,03) преобладание пациентов с нарушениями липидного обмена в группах без кальциноза коронарных артерий и легкого кальциноза коронарных артерий по сравнению с пациентами с умеренным кальцинозом коронарных артерий — 63; 71 и 25% соответственно. Пациенты были сопоставимы по получаемой медикаментозной терапии за исключением статинов (p = 0,02), которые чаще получали пациенты группы с умеренным кальцинозом коронарных артерий— 53, 38 и 83% в первой, второй и третьей группах соответственно.
Основные результаты исследования
По данным МСКТ-КГ наблюдалось статически значимое более выраженное поражение коронарных артерий: значения максимального сужения коронарных артерий были прямо пропорциональны увеличению КИ (p = 0,04): 20,0% (0,0; 40,0); 30,0% (25,0; 40,0) и 40,0% (37,5; 45,0) в каждой группе соответственно.
Анализ глобальных данных ОФЭКТ миокарда представлен в табл. 2. Стандартные показатели ПСМ, покой-МК, а также характеристики гемодинамики и сократимости ЛЖ не различались между группами. При этом наблюдались статистически значимые (p < 0,05) различия по количественным показателям динамической ОФЭКТ: стресс-МК, РМК и ΔМК. При анализе групп по парам было установлено, что стресс-МК и ΔМК достоверно ниже в группе с умеренным кальцинозом коронарных артерий по сравнению с группой без кальциноза коронарных артерий, а РМК ниже в группе с умеренным кальцинозом коронарных артерий по сравнению с группами без кальциноза коронарных артерий и с легким кальцинозом коронарных артерий.
Таблица 2. Анализ глобальных данных МСКТ-КГ и ОФЭКТ миокарда
Показатель | Все пациенты (n = 52) | I группа: КИ 0 (n = 19) | II группа: КИ 1–100 (n = 21) | III группа: КИ 101–400 (n = 12) | Критерий Краскела–Уоллиса (p-value) | Критерий Геймса–Хоуэлла (p-value) | ||
Группы I и II | Группы I и III | Группы II и III | ||||||
Кальциевый индекс, ед. Агатстона | 17,0 (0,0; 75,0) | 0,0 (0,0; 0,0) | 40,0 (14,0; 62,0) | 249,0 (114,0; 295,0) | <0,001 | <0,001 | <0,001 | <0,001 |
Максимальный стеноз коронарных артерий, % | 35,0 (15,0; 42,5) | 20,0 (0,0; 40,0) | 30,0 (25,0; 40,0) | 40,0 (37,5; 45,0) | 0,04 | 0,64 | 0,006 | 0,02 |
SSS, баллы | 0,0 (0,0; 2,0) | 0,0 (0,0; 2,0) | 1,0 (0,0; 3,0) | 1,5 (0,0; 2,5) | 0,13 | 0,14 | 0,25 | 0,99 |
SRS, баллы | 0,0 (0,0; 0,0) | 0,0 (0,0; 0,0) | 0,0 (0,0; 0,0) | 0,0 (0,0; 0,0) | 0,50 | 0,59 | 0,59 | 0,99 |
SDS, баллы | 0,0 (0,0; 2,0) | 0,0 (0,0; 2,0) | 1,0 (0,0; 3,0) | 0,5 (0,0; 2,5) | 0,19 | 0,13 | 0,37 | 0,99 |
ФВ ЛЖ, % | 68,0 (64,0; 72,5) | 69,0 (64,0; 75,0) | 67,0 (64,0; 69,0) | 69,0 (61,0; 72,5) | 0,43 | 0,79 | 0,63 | 0,92 |
КДО, мл | 107,5 (98,0; 123,0) | 110,0 (103,0; 124,0) | 105,0 (95,0; 132,0) | 106,5 (99,0; 112,5) | 0,39 | 0,98 | 1,0 | 0,99 |
КСО, мл | 35,0 (28,0; 45,5) | 37,0 (27,0; 48,0) | 36,0 (31,0; 46,0) | 32,0 (28,5; 43,0) | 0,80 | 0,62 | 0,83 | 0,99 |
Стресс-МК, мл/мин/г | 1,35 (1,05; 1,61) | 1,52 (1,31; 1,66) | 1,33 (1,02; 1,63) | 0,91 (0,64; 1,4) | 0,04 | 0,27 | 0,03 | 0,21 |
Покой-МК, мл/мин/г | 0,56 (0,39; 0,74) | 0,51 (0,38; 0,77) | 0,46 (0,37; 0,62) | 0,57 (0,47; 0,82) | 0,47 | 0,73 | 0,69 | 0,35 |
РМК | 2,51 (1,88; 3,08) | 2,84 (2,18; 3,9) | 2,54 (2,18; 3,08) | 1,6 (1,48; 2,07) | 0,003 | 0,45 | 0,002 | 0,003 |
ΔМК, мл/мин/г | 0,77 (0,49; 1,2) | 0,83 (0,73; 1,26) | 0,78 (0,49; 1,3) | 0,55 (0,21; 0,85) | 0,02 | 0,89 | 0,03 | 0,07 |
Примечание. n — количество пациентов; p-value — уровень статистической значимости; SDS — разница баллов между нагрузкой и покоем; SRS — сумма баллов в покое; SSS — сумма баллов при нагрузке; КДО — конечно-диастолический объем; КСО — конечно-систолический объем; МСКТ-КГ — мультиспиральная компьютерно-томографическая коронарография; ОФЭКТ — однофотонная эмиссионная компьютерная томография; покой-МК — миокардиальный кровоток в покое; РМК — резерв миокардиального кровотока; стресс-МК — миокардиальный кровоток при нагрузке; ФВ ЛЖ — фракция выброса левого желудочка; ΔМК — разница стресс-МК и покой-МК.
Для оценки регионарных данных динамической ОФЭКТ миокарда было проанализировано 156 сосудистых регионов (табл. 3). Стандартные показатели ПСМ и покой-МК не различались между группами. Как и при глобальном анализе, группы статистически значимо различались по сцинтиграфическим показателям динамической ОФЭКТ миокарда: стресс-МК, РМК и ΔМК. При анализе групп по парам было установлено, что стресс-МК достоверно ниже в регионах с умеренным кальцинозом коронарных артерий по сравнению с регионами без кальциноза коронарных артерий, а РМК и ΔМК ниже в регионах с умеренным кальцинозом коронарных артерий по сравнению с регионами без кальциноза коронарных артерий и с легким кальцинозом коронарных артерий.
Таблица 3. Анализ регионарных данных МСКТ-КГ и ОФЭКТ миокарда
Показатель | Все регионы (n = 156) | I группа: КИ 0 (n = 101) | II группа: КИ 1–100 (n = 41) | III группа: КИ 100–400 (n = 14) | Критерий Краскела–Уоллиса (p-value) | Критерий Геймса–Хоуэлла (p-value) | ||
Группы I и II | Группы I и III | Группы II и III | ||||||
Кальциевый индекс, ед. Агатстона | 0,0 (0,0; 17,0) | 0,0 (0,0; 0,0) | 20,0 (10,0; 45,0) | 179,0 (119,0; 213,0) | <0,001 | <0,001 | <0,001 | <0,001 |
Максимальный стеноз коронарных артерий, % | 0,0 (0,0; 32,5) | 0,0 (0,0; 15,0) | 30,0 (10,0; 45,0) | 40,0 (35,0; 45,0) | <0,001 | <0,001 | <0,001 | 0,03 |
SS, баллы | 0,0 (0,0; 1,0) | 0,0 (0,0; 0,0) | 0,0 (0,0; 1,0) | 0,0 (0,0; 1,0) | 0,18 | 0,36 | 0,40 | 0,79 |
RS, баллы | 0,0 (0,0; 0,0) | 0,0 (0,0; 0,0) | 0,0 (0,0; 0,0) | 0,0 (0,0; 0,0) | 0,10 | 0,99 | 0,51 | 0,48 |
DS, баллы | 0,0 (0,0; 1,0) | 0,0 (0,0; 0,0) | 0,0 (0,0; 1,0) | 0,0 (0,0; 1,0) | 0,28 | 0,24 | 0,57 | 0,95 |
Стресс-МК, мл/мин/г | 1,40 (1,08; 1,74) | 1,47 (1,16; 1,75) | 1,34 (0,93; 1,72) | 0,10 (0,67; 1,67) | 0,03 | 0,62 | 0,04 | 0,19 |
Покой-МК, мл/мин/г | 0,55 (0,41; 0,77) | 0,56 (0,43; 0,76) | 0,53 (0,40; 0,66) | 0,62 (0,38; 0,98) | 0,51 | 0,87 | 0,67 | 0,54 |
РМК | 2,39 (1,82; 3,12) | 2,53 (1,91; 3,46) | 2,38 (1,95; 2,83) | 1,76 (1,49; 2,12) | 0,004 | 0,22 | <0,001 | 0,01 |
ΔМК, мл/мин/г | 0,76 (0,49; 1,15) | 0,81 (0,59; 1,18) | 0,73 (0,48; 1,08) | 0,43 (0,18; 0,69) | 0,003 | 0,52 | 0,004 | 0,03 |
Примечание. n — количество пациентов; p-value — уровень статистической значимости; DS — разница баллов между нагрузкой и покоем; RS — сумма баллов в покое; SS — сумма баллов при нагрузке; МСКТ-КГ — мультиспиральная компьютерно-томографическая коронарография; ОФЭКТ — однофотонная эмиссионная компьютерная томография; покой-МК — миокардиальный кровоток в покое; РМК — резерв миокардиального кровотока; стресс-МК — миокардиальный кровоток при нагрузке; ΔМК — разница стресс-МК и покой-МК; п/ж — статистически значимые различия.
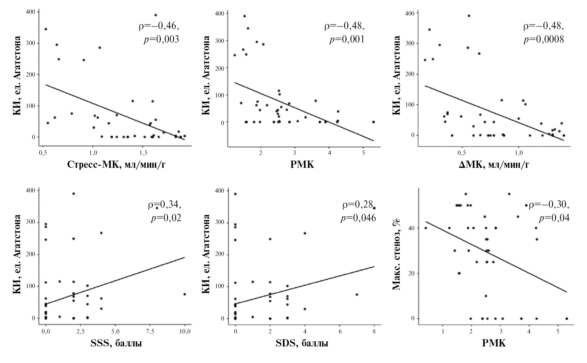
При корреляционном анализе глобальных показателей были выявлены значимые взаимосвязи между КИ и сцинтиграфическими показателями: стресс-МК (ρ = –0,46; p = 0,003); РМК (ρ = –0,48; p = 0,001); ΔМК (ρ = –0,48; p = 0,0008); SSS (ρ = 0,34; p = 0,02) и SDS (ρ = 0,28; p = 0,046), также максимальный стеноз имел обратную отрицательную взаимосвязь с РМК (ρ = –0,30; p = 0,04) (рис. 1).
Рис. 1. Корреляционные взаимосвязи глобальных показателей МСКТ-КГ и динамической ОФЭКТ миокарда
Примечание. p-value — уровень статистической значимости; ρ — коэффициент корреляции Спирмена; SDS — разница баллов между нагрузкой и покоем; SSS — сумма баллов при нагрузке; КИ — кальциевый индекс; Макс. стеноз — максимальный стеноз коронарных артерий; МСКТ-КГ — мультиспиральная компьютерно-томографическая коронарография; ОФЭКТ — однофотонная эмиссионная компьютерная томография; РМК — резерв миокардиального кровотока; стресс-МК — миокардиальный кровоток при нагрузке; ΔМК — разница стресс-МК и покой-МК.
При корреляционном анализе регионарных показателей выявленные взаимосвязи между КИ и сцинтиграфическими показателями были слабее, но оставались статистически значимыми: стресс-МК (ρ = –0,20; p = 0,01); РМК (ρ = –0,22; p = 0,008); ΔМК (ρ = –0,24; p = 0,003) и SS (ρ = 0,16; p = 0,04) (рис. 2).
Рис. 2. Корреляционные взаимосвязи регионарных показателей МСКТ-КГ и динамической ОФЭКТ миокарда
Примечание. p-value — уровень статистической значимости; ρ — коэффициент корреляции Спирмена; SS — сумма баллов при нагрузке; КИ — кальциевый индекс; МСКТ-КГ — мультиспиральная компьютерно-томографическая коронарография; ОФЭКТ — однофотонная эмиссионная компьютерная томография; РМК — резерв миокардиального кровотока; стресс-МК — миокардиальный кровоток при нагрузке; ΔМК – разница стресс-МК и покой-МК.
Клинические примеры пациентов с необструктивным поражением коронарных артерий и наличием кальциноза коронарных артерий представлены на рис. 3, 4.
Рис. 3. Клинический пример пациента № 1. Пациентка К., 56 лет, женщина. ГБ I, АГ контролируемая, ДЛП (ОХС — 4,82 ммоль/л; ХС ЛПНП — 3,33 ммоль/л). Жалобы на атипичные боли в грудной клетке и одышку при физической нагрузке. А–В — МСКТ-КГ: КИ — 246 ед. Агатстона, кальцинированная АБ в стволе ЛКА (стеноз — 30%); кальцинированные АБ в проксимальном и среднем сегментах ПНА (стенозы — до 40%); кальцинированные и смешанные АБ в проксимальном и среднем сегментах ПКА (стенозы — до 30%). Г — ПСМ: SSS — 0 баллов; SRS — 0 баллов; SDS — 0 баллов. Д — динамическая ОФЭКТ: стресс-МК — 0,91 мл/мин/г; покой-МК — 0,74 мл/мин/г; РМК — 1,23; ΔМК — 0,17 мл/мин/г.
Примечание. SDS — разница баллов между нагрузкой и покоем; SRS — сумма баллов в покое; SSS — сумма баллов при нагрузке; ΔМК — разница стресс-МК и покой-МК; АБ — атеросклеротическая бляшка; АГ — артериальная гипертензия; ГБ — гипертоническая болезнь; ДЛП — дислипидемия; КИ — кальциевый индекс; ЛКА — левая коронарная артерия; МСКТ-КГ — мультиспиральная компьютерно-томографическая коронарография; ОФЭКТ — однофотонная эмиссионная компьютерная томография; ОХС — общий холестерин; ПКА — правая коронарная артерия; ПНА — передняя нисходящая артерия; покой-МК — миокардиальный кровоток в покое; ПСМ —перфузионная сцинтиграфия миокарда; РМК — резерв миокардиального кровотока; стресс-МК — миокардиальный кровоток при нагрузке; ХС ЛПНП — холестерин липопротеины низкой плотности.
Рис. 4. Клинический пример пациента № 2. Пациент Р., 58 лет, мужчина. ГБ I, АГ контролируемая, ДЛП (ОХС — 5,52 ммоль/л; ХС — ЛПНП 3,26 ммоль/л). Жалобы на атипичные боли в грудной клетке. А–В — МСКТ-КГ: КИ — 62 ед. Агатстона; смешанная АБ в стволе ЛКА (стеноз — 30%); смешанная АБ в проксимальном сегменте ПНА (стеноз — 40%); мягкотканная АБ в проксимальном сегменте ОА (стеноз — 20%); смешаные АБ в проксимальном и среднем сегментах ПКА (стенозы — до 30%). Г — ПСМ: SSS — 0 баллов; SRS — 0 баллов; SDS — 0 баллов. Д — динамическая ОФЭКТ: стресс-МК — 1,05 мл/мин/г; покой-МК — 0,56 мл/мин/г; РМК — 1,87; ΔМК — 0,49 мл/мин/г.
Примечание. SDS — разница баллов между нагрузкой и покоем; SRS — сумма баллов в покое; SSS — сумма баллов при нагрузке; ΔМК — разница стресс-МК и покой-МК; АБ — атеросклеротическая бляшка; АГ — артериальная гипертензия; ГБ — гипертоническая болезнь; ДЛП — дислипидемия; КИ — кальциевый индекс; ЛКА — левая коронарная артерия; МСКТ-КГ — мультиспиральная компьютерно-томографическая коронарография; ОА — огибающая артерия; ОФЭКТ — однофотонная эмиссионная компьютерная томография; ОХС — общий холестерин; ПКА — правая коронарная артерия; ПНА — передняя нисходящая артерия; покой-МК — миокардиальный кровоток в покое; ПСМ — перфузионная сцинтиграфия миокарда; РМК — резерв миокардиального кровотока; стресс-МК — миокардиальный кровоток при нагрузке; ХС ЛПНП — холестерин липопротеины низкой плотности.
Обсуждение
Резюме основного результата исследования
В данной работе впервые у пациентов с необструктивным атеросклеротическим поражением коронарных артерий был выполнен анализ взаимосвязи степени кальциноза коронарных артерий с количественными показателями МК по данным динамической CZT ОФЭКТ миокарда. Как на глобальном, так и регионарном уровнях было установлено наличие обратной отрицательной взаимосвязи КИ со стресс-МК, РМК и ΔМК.
Обсуждение основного результата исследования
Полученные результаты согласуются с предыдущими работами, которые показали, что с увеличением КИ снижаются сцинтиграфические показатели стресс-МК и/или РМК по данным ПЭТ как при глобальном, так и при регионарном анализе [10–12]. В исследовании Z. Curillova et al. в группе пациентов с подозрением на ИБС также была установлена значимая обратная отрицательная взаимосвязь КИ со стресс-МК (ρ = –0,31; p = 0,0002) и РМК (ρ = –0,28; p = 0,001) по данным ПЭТ с 82Rb [10]. Важно отметить, что как в нашем исследовании, так и в работе Z. Curillova et al. показано, что ассоциация КИ и сцинтиграфических показателей имела слабую силу, что может указывать на то, что в снижении стресс-МК и РМК играет роль совокупность клинических данных, в том числе факторы риска ССЗ.
С возрастанием КИ растет и частота встречаемости выраженных стресс-индуцированных дефектов перфузии (прямая взаимосвязь КИ с SSS, SDS), подтверждающих ишемические изменения миокарда [11, 12]. В нашем исследовании не было пациентов с высоким кальцинозом коронарных артерий (КИ ≥ 400 ед. Агатстона), так как в данной выборке не встретились подобные случаи. Стандартные сцинтиграфические показатели (SSS, SDS) и в нашем исследовании показали наличие прямой корреляционной взаимосвязи с КИ, но значительно меньшую, чем количественные показатели динамической ОФЭКТ миокарда.
M. Bailly et al. представили клинический случай 56-летней пациентки с высокой степенью ККА и нормальной миокардиальной перфузией по данным стандартной ПСМ. При проведении динамической CZT ОФЭКТ установили снижение стресс-МК и РМК. В дальнейшем пациентке была проведена инвазивная коронарография и подтверждено трехсосудистое обструктивное поражение коронарных артерий [15]. Из данного клинического примера следует, что проведение подсчета КИ и определение количественных сцинтиграфических показателей МД могут способствовать изменению врачебной тактики.
Ранее было показано, что пациенты с высоким значением КИ имеют большую вероятность наличия обструктивного атеросклеротического поражения коронарных артерий и выраженной стресс-индуцированной ишемии [2]. Тем самым это объясняет, что КИ сам по себе является самостоятельным независимым предиктором развития НССС [16].
В настоящее время важную роль в кардиологии играют исследования, посвященные оценке прогноза и стратификации риска у пациентов с необструктивным атеросклеротическим поражением коронарных артерий. В опубликованном обзоре литературы, посвященном радионуклидным методом исследования в диагностике МД, были представлены работы, подтверждающие, что РМК, определенный методом ПЭТ с 82Rb или 13N–NH3, может также являться самостоятельным независимым предиктором развития НССС у пациентов с классическими факторами риска ССЗ [17].
В работе A. Aljizeeri et al. КИ и РМК выступали независимыми предикторами развития внезапной сердечной смерти и нефатального инфаркта миокарда в периоде наблюдения 1,9 года: при КИ, равном 0 ед. Агатстона, риск составил 0,39% против 4,55% при КИ ≥ 400 ед. Агатстона, при сохраненном РМК 0,76 против 2,09% при РМК < 2,0 [11]. Однако при многофакторном анализе добавление КИ к прогностическим моделям, включающим факторы риска ССЗ и РМК, не приводило к значимому улучшению моделей, что, несомненно, требует продолжения исследований в данном направлении [10–12].
В исследовании K.K. Patel et al. 494 (37,8%) пациента без кальциноза коронарных артерий имели РМК < 2,0 по данным ПЭТ с 82Rb, из них 46 (9%) пациентов умерли в периоде наблюдения 3,0 (1,7–4,7) года [12]. Стоит отметить, что данная подгруппа пациентов несколько чаще имела в анамнезе артериальную гипертензию, сахарный диабет и дислипидемию. Данные результаты могут указывать на необходимость применения анатомо-физиологического подхода в диагностике пациентов с подозрением на ИБС, что можно обеспечить бесконтрастной КТ сердца для определения кальциноза коронарных артерий и радионуклидными методами исследования (ПЭТ или динамической ОФЭКТ миокарда) для оценки состояния микроциркуляторного русла.
В последние годы в фокусе исследовательского внимания находится поиск оптимальной лекарственной терапии для лечения МД при необструктивном атеросклерозе коронарных артерий, этому посвящено и крупное рандомизированное многоцентровое исследование WARRIOR, результаты которого могут послужить фундаментом для утверждения рекомендаций по лечению МД [18].
В многоцентровом исследовании PARADIGM было установлено, что у пациентов, которым была назначена ЛСТ (розувастатин и аторвастатин), по сравнению с теми, кто не получал ЛСТ, отмечалось статистически значимое замедление прогрессии общего объема бляшки (1,76 ± 2,40 против 2,04 ± 2,37% в год) и не наблюдалось увеличение объема мягкотканного компонента (0,49 ± 2,39 против 1,06 ± 2,42% в год) по данным МСКТ-КГ. Помимо этого, реже отмечалось появление новых низкоплотных бляшек высокого риска (0,9 против 1,6% в год). Однако прием ЛСТ не оказывал влияния на степень стенозирования коронарных артерий и приводил к увеличению общего содержания кальция в структуре атеросклеротических бляшек, что остается вопросом для дискуссии и дальнейшего изучения [19, 20].
Ограничения исследования
К основным ограничениям данной работы стоит отнести относительно небольшой объем выборки и отсутствие референтной методики оценки МК и РМК. В исследование включались пациенты, имеющие комбинации факторов риска ССЗ, принимающие ЛСТ и/или антигипертензивную терапию, что может отражаться на данных КИ, МК и РМК. По нашему мнению, это позволяет показать выборку пациентов, приближенную к условиям реальной клинической практики.
Заключение
При необструктивном поражении коронарных артерий имеет место снижение МК и РМК, обратно пропорциональное уровню КИ, что можно рассматривать как ранний маркер ассоциированного с коронарным атеросклерозом нарушения вазодилатирующего резерва. Наличие умеренной ассоциации между уровнем коронарного кальция и значениями МК и РМК, определенными методом динамической CZT ОФЭКТ миокарда, позволяет рассматривать данную методику для обследования пациентов с необструктивным атеросклеротическим поражением коронарных артерий.
В будущем комбинированная анатомо-физиологическая оценка томографических и сцинтиграфических параметров может повысить точность неинвазивной диагностики микроваскулярной дисфункции. Перспективы дальнейших исследований заключаются в использовании метода динамической CZT ОФЭКТ миокарда для оценки возможных рисков и прогноза у пациентов с необструктивным атеросклеротическим поражением коронарных артерий.
Дополнительная информация
Источник финансирования. Исследования выполнены, рукопись подготовлена и публикуется за счет финансирования по месту работы авторов.
Конфликт интересов. Авторы данной статьи подтвердили отсутствие конфликта интересов, о котором необходимо сообщить.
Участие авторов. А.Н. Мальцева — анализ литературы, набор клинического материала, запись и обработка сцинтиграфических и томографических данных, статистическая обработка результатов, написание рукописи; К.В. Копьева — набор клинического материала, редактирование рукописи; А.В. Мочула — запись и обработка сцинтиграфических и томографических данных, редактирование рукописи; Е.В. Гракова — клиническое обоснование исследования, формирование дизайна, редактирование рукописи; К.В. Завадовский — разработка концепции и дизайна, редактирование рукописи, окончательное утверждение рукописи для печати; С.В. Попов — окончательное утверждение рукописи для печати. Все авторы статьи внесли существенный вклад в организацию и проведение исследования, прочли и одобрили окончательную версию статьи перед публикацией.
About the authors
Alina N. Maltseva
Cardiology Research Institute, Tomsk National Research Medical Center, Russian Academy of Sciences
Author for correspondence.
Email: maltseva.alina.93@gmail.com
ORCID iD: 0000-0002-1311-0378
SPIN-code: 6213-3736
Post-Graduate Student, Junior Researcher
Russian Federation, TomskKristina V. Kopeva
Cardiology Research Institute, Tomsk National Research Medical Center, Russian Academy of Sciences
Email: kristin-kop@inbox.ru
ORCID iD: 0000-0002-2285-6438
SPIN-code: 5520-1140
MD, PhD, Researcher
Russian Federation, TomskAndrew V. Mochula
Cardiology Research Institute, Tomsk National Research Medical Center, Russian Academy of Sciences
Email: mochula.andrew@gmail.com
ORCID iD: 0000-0003-0883-466X
SPIN-code: 7635-6558
MD, PhD, Senior Researcher
Russian Federation, TomskElena V. Grakova
Cardiology Research Institute, Tomsk National Research Medical Center, Russian Academy of Sciences
Email: vgelen1970@gmail.com
ORCID iD: 0000-0003-4019-3735
SPIN-code: 7281-8120
MD, PhD, Leading Researcher
Russian Federation, TomskKonstantin V. Zavadovsky
Cardiology Research Institute, Tomsk National Research Medical Center, Russian Academy of Sciences
Email: konstz@cardio-tomsk.ru
ORCID iD: 0000-0002-1513-8614
SPIN-code: 5081-3495
MD, PhD
Russian Federation, TomskSergey V. Popov
Cardiology Research Institute, Tomsk National Research Medical Center, Russian Academy of Sciences
Email: psv@cardio-tomsk.ru
ORCID iD: 0000-0002-9050-4493
SPIN-code: 6853-7180
MD, PhD, Professor, Academician of the RAS
Russian Federation, TomskReferences
- Huang F-Y, Huang B-T, Lv W-Y, et al. The prognosis of patients with nonobstructive coronary artery disease versus normal arteries determined by invasive coronary angiography or computed tomography coronary angiography: A systematic review. Medicine (Baltimore). 2016;95(11):e3117. doi: https://doi.org/10.1097/MD.0000000000003117
- Havel M, Koranda P, Kincl V, et al. Additional value of the coronary artery calcium score in patients for whom myocardial perfusion imaging is challenging. Kardiol Pol. 2019;77(4):458–464. doi: https://doi.org/10.5603/KP.a2019.0037
- Knuuti J, Wijns W, Saraste A, et al. ESC Scientific Document Group. ESC Guidelines for the diagnosis and management of chronic coronary syndromes. Eur Heart J. 2020;41(3):407–477. doi: https://doi.org/10.1093/eurheartj/ehz425
- Барбараш О.Л., Карпов Ю.А., Кашталап В.В., и др. Стабильная ишемическая болезнь сердца. Клинические рекомендации 2020 // Российский кардиологический журнал. — 2020. — Т. 25. — № 11. — С. 4076. [Barbarash OL, Karpov YuA, Kashtalap VV, et al. 2020 Clinical practice guidelines for Stable coronary artery disease. Russian Journal of Cardiology. 2020;25(11):4076. (In Russ.)]. doi: https://doi.org/10.15829/1560-4071-2020-4076
- Журавлев К.Н., Васильева Е.Ю., Синицын В.Е., др. Кальциевый индекс как скрининговый метод диагностики сердечно-сосудистых заболеваний // Российский кардиологический журнал. — 2019. — Т. 24. — № 12. — С. 153–161. [Zhuravlev KN, Vasilieva EYu, Sinitsyn VE, et al. Calcium score as a screening method for cardiovascular disease diagnosis. Russian Journal of Cardiology. 2019;24(12):153–161. (In Russ.)]. doi: https://doi.org/10.15829/1560-4071-2019-12-153-161
- Padro T, Manfrini O, Bugiardini R, et al. ESC Working Group on Coronary Pathophysiology and Microcirculation position paper on “coronary microvascular dysfunction in cardiovascular disease”. Cardiovasc Res. 2020;116(4):741–755. doi: https://doi.org/10.1093/cvr/cvaa003
- Шматова Е.Н., Гринштейн Ю.И. Микроваскулярная стенокардия: патогенез, клиника, диагностика и принципы терапии // РМЖ. Медицинское обозрение. — 2020. — Т. 4. — № 7. — С. 425–430. [Shmatova EN, Grinshtein YuI. Microvascular angina: pathogenesis, clinical picture, diagnosis and therapy tactics. Russian Medical Inquiry. 2020;4(7):425–430. (In Russ.)]. doi: https://doi.org/10.32364/2587-6821-2020-4-7-425-430
- Zavadovsky KV, Mochula AV, Maltseva AN, et al. The current status of CZT SPECT myocardial blood flow and reserve assessment: Tips and tricks. J Nucl Cardiol. 2022;29(6):3137–3151. doi: https://doi.org/10.1007/s12350-021-02620-y
- Леонова И.А., Захарова О.В., Болдуева С.А. Нарушения эндотелий-зависимой вазодилатации у больных с микрососудистой стенокардией // РМЖ. Медицинское обозрение. — 2022. — Т. 6. — № 8. — С. 427–432. [Leonova IA, Zakharova OV, Boldueva SA. Disorders of endothelium-dependent vasodilation in patients with microvascular angina. Russian Medical Inquiry. 2022;6(8):427–432. (In Russ.)]. doi: https://doi.org/10.32364/2587-6821-2022-6-8-427-432
- Curillova Z, Yaman BF, Dorbala S, et al. Quantitative relationship between coronary calcium content and coronary flow reserve as assessed by integrated PET/CT imaging. Eur J Nucl Med Mol Imaging. 2009;36(10):1603–1610. doi: https://doi.org/10.1007/s00259-009-1121-1
- Aljizeeri A, Ahmed AI, Alfaris MA, et al. Myocardial Flow Reserve and Coronary Calcification in Prognosis of Patients with Suspected Coronary Artery Disease. JACC Cardiovasc Imaging. 2021;14(12):2443–2452. doi: https://doi.org/10.1016/j.jcmg.2021.01.024
- Patel KK, Peri-Okonny PA, Qarajeh R, et al. Prognostic relationship between coronary artery calcium score, perfusion defects, and myocardial blood flow reserve in patients with suspected coronary artery disease. Circ Cardiovasc Imaging. 2022;15(4):e012599. doi: https://doi.org/10.1161/CIRCIMAGING.121.012599
- Agatston AS, Janowitz WR, Hildner FJ, et al. Quantification of coronary artery calcium using ultrafast computed tomography. J Am Coll Cardiol. 1990;15(4):827–832. doi: https://doi.org/10.1016/0735-1097(90)90282-t
- Завадовский К.В., Мочула А.В., Врублевский А.В., и др. Роль нагрузочной динамической однофотонной эмиссионной компьютерной томографии с определением резерва миокардиального кровотока в оценке значимости стенозов коронарных артерий // Российский кардиологический журнал. — 2019. — Т. 24. — № 12. — С. 40–46. [Zavadovsky KV, Mochula AV, Vrublevsky AV, et al. Role of stress in dynamic single-photon emission computed tomography with myocardial perfusion reserve determination in assessing the severity of coronary artery stenosis. Russian Journal of Cardiology. 2019;24(12):40–46 (In Russ.)]. doi: https://doi.org/10.15829/1560-4071-2019-12-40-46
- Bailly M, Thibault F, Courtehoux M, et al. Added Value of Myocardial Blood Flow Quantification and Calcium Scoring During CZT SPECT Myocardial Perfusion Imaging for Coronary Artery Disease Screening. Clin Nucl Med. 2019;44(11):e617–e619. doi: https://doi.org/10.1097/RLU.0000000000002709
- Greenland P, Blaha MJ, Budoff MJ, et al. Coronary Calcium Score and Cardiovascular Risk. J Am Coll Cardiol. 2018;72(4):434–447. doi: https://doi.org/10.1016/j.jacc.2018.05.027
- Мальцева А.Н., Мочула А.В., Копьева К.В., и др. Радионуклидные методы исследования в диагностике микроваскулярной дисфункции при необструктивном атеросклеротическом поражении коронарных артерий // Российский кардиологический журнал. — 2021. — Т. 26. — № 12. — С. 181–188. [Maltseva AN, Mochula AV, Kopyeva KV, et al. Radionuclide imaging methods in the diagnosis of microvascular dysfunction in non-obstructive coronary artery disease. Russian Journal of Cardiology. 2021;26(12):181–188. (In Russ.)]. doi: https://doi.org/10.15829/1560-4071-2021-4746
- Bairey Merz CN, Pepine CJ, Shimokawa H, et al. Treatment of coronary microvascular dysfunction. Cardiovasc Res. 2020;116(4):856–870. doi: https://doi.org/10.1093/cvr/cvaa006
- Lee SE, Chang HJ, Sung JM, et al. Effects of Statins on Coronary Atherosclerotic Plaques: The PARADIGM Study. JACC Cardiovasc Imaging. 2018;11(10):1475–1484. doi: https://doi.org/10.1016/j.jcmg.2018.04.015
- Lee SE, Sung JM, Andreini D, et al. Differential association between the progression of coronary artery calcium score and coronary plaque volume progression according to statins: the Progression of AtheRosclerotic PlAque DetermIned by Computed TomoGraphic Angiography Imaging (PARADIGM) study. Eur Heart J Cardiovasc Imaging. 2019;20(11):1307–1314. doi: https://doi.org/10.1093/ehjci/jez022
Supplementary files








