99mTc-Labelled Low Molecular Weight Inhibitors of Prostate-Specific Membrane Antigen
- Authors: Tishchenko V.K.1, Petriev V.M.1,2, Vlasova O.P.1,3, Pankratov A.A.4, Morozova N.B.4, Shegai P.V.3, Ivanov S.A.1,5, Kaprin A.D.3,4,5
-
Affiliations:
- A. Tsyb Medical Radiological Research Centre
- National Research Nuclear University MEPHI (Moscow Engineering Physics Institute)
- National Medical Research Radiological Centre
- P.A. Hertsen Moscow Oncology Research Institute
- RUDN University
- Issue: Vol 77, No 6 (2022)
- Pages: 420-436
- Section: ONCOLOGY: CURRENT ISSUES
- Published: 04.02.2023
- URL: https://vestnikramn.spr-journal.ru/jour/article/view/2207
- DOI: https://doi.org/10.15690/vramn2207
- ID: 2207
Cite item
Full Text
Abstract
High morbidity and mortality rates of prostate cancer (PCa) determine the requirement of looking for new methods of its early diagnosis. Methods of nuclear medicine have a special place in addressing this problem as they allow functional, metabolic and other processes imaging in body, which occur during the cancer development. This approach supposes the use of radiopharmaceuticals (RP), which are capable of selective binding to a specific biological target, for example, prostate-specific membrane antigen (PSMA), which is known to be overexpressed in PCa. Current development of new radiotracers for PCa imaging is focused on low molecular weight PSMA inhibitors due to their high specific binding to PSMA and rapid urinary excretion. Technetium-99m remains the appropriate radionuclide for diagnostic studies due to its optimal nuclear properties, ease of production and versatile coordination chemistry. Therefore, single-photon emission computed tomography (SPECT) imaging with 99mTc-PSMA radioligands can be a cost effective alternative to PET with 68Ga- or 18F-labeled RP. The aim of this review is to summarize and analyze currently available data on 99mTc-labeled low molecular weight PSMA inhibitors for metastatic PCa imaging.
Full Text
Введение
Рак предстательной железы (РПЖ) является вторым по частоте встречаемости онкологическим заболеванием после рака легких и шестой по значимости причиной смерти от рака у мужчин во всем мире [1]. По данным Глобальной онкологической обсерватории (GCO), в 2020 г. было зарегистрировано 1,4 млн случаев РПЖ, из которых умерли 375 тыс. человек [1]. По прогнозам к 2040 г. число пациентов с РПЖ увеличится до 2,3 млн в год, а смертность достигнет 740 тыс. человек в год [1]. В России число пациентов с РПЖ с 2010 по 2020 г. выросло с 76,1 до 183,4 на 100 тыс. населения [2].
Учитывая высокую заболеваемость и смертность, ассоциированные с РПЖ, ранняя диагностика первичной опухоли, а также визуализация очагов метастазирования или рецидивов остаются актуальными проблемами медицины. Раннее и точное обнаружение опухоли имеет большое значение для последующей разработки стратегии лечения, так как позволяет снизить риск возникновения осложнений и улучшить прогноз. У пациентов с локализованным РПЖ 5-летняя выживаемость составляет почти 100%, однако при развитии метастазов этот показатель снижается до 30% [3]. Традиционные методы визуализации, такие как компьютерная томография (КТ), магнитно-резонансная томография (МРТ) и ультразвуковое исследование, имеют ограниченную точность в оценке метастатического и рецидивирующего РПЖ [4]. Получение функциональной информации о распространении РПЖ стало возможным после внедрения в клиническую практику высокочувствительных методов ядерной медицины, таких как однофотонная эмиссионная компьютерная томография (ОФЭКТ) и позитронно-эмиссионная томография (ПЭТ).
К сожалению, низкий уровень метаболизма глюкозы РПЖ значительно ограничивает диагностическую эффективность ПЭТ визуализации с 2-дезокси-2-[18F]фторглюкозой (18F-ФДГ). ПЭТ/КТ с 18F- и 11С-холином также характеризовалась низкой чувствительностью и специ-фичностью, особенно при низком уровне простат-спе-цифического антигена (ПСА) [5]. Поэтому необходимы более специфичные радиоиндикаторы, позволяющие увеличить чувствительность радионуклидной диагностики РПЖ.
Простат-специфический мембранный антиген (ПСМА), сверхэкспрессированный на поверхности опухолевых клеток простаты, является важной мишенью для визуализации и терапии РПЖ с помощью высокоаффинных и специфичных к ПСМА радиофармацевтических лекарственных препаратов (РФЛП). Еще в 1990-х го-дах Управление по санитарному надзору за качеством пищевых продуктов и медикаментов США (Food and Drug Administration, FDA) одобрило 111In-капромаб пендетид (ProstaScint®) — препарат на основе мышиных антител к внутриклеточному домену ПСМА — для иммуносцинтиграфии РПЖ. Однако длительный период полувыведения из крови, низкая проницаемость в солидных опухолях и высокая иммуногенность препарата существенно ограничивают его клиническое использование.
Особый интерес представляют низкомолекулярные ингибиторы ПСМА (пептидомиметики), быстро выводящиеся из кровотока и обеспечивающие высокую контрастность ОФЭКТ- или ПЭТ-изображений [6]. К настоящему времени за рубежом зарегистрировано два радиофармацевтических лекарственных препарата на основе низкомолекулярных ПСМА-ингибиторов: 68Ga-PSMA-11 и 18F-DCFPyL (Pylarify®). Оба препарата предназначены для визуализации РПЖ и его метастазов методом ПЭТ [7]. Однако рутинное клиническое применение РФЛП с 68Ga и 18F ограничено низкой доступностью ПЭТ, а также высокой стоимостью эксплуатации циклотрона и блока радиохимического синтеза [8].
Среди радионуклидов, используемых в настоящее время, технеций-99m (99mTc) стал основным в диагностической ядерной медицине, а радиофармацевтические лекарственные препараты на основе 99mTc до сих пор являются наиболее используемыми радиотрейсерами в клинической практике [6]. Широкое использование 99mTc объясняется характеристиками его ядерного распада (Т1/2 = 6,01 ч; Еγ = 140,5 кэВ; 98,6%), удобством получения с помощью коммерчески доступных генераторов 99W/99mTc, а также простотой приготовления радиофармацевтических лекарственных препаратов с 99mTc с использованием готовых наборов (лиофилизатов) в условиях клиники. Кроме того, большая доступность гамма-камер по сравнению с ПЭТ-сканерами, а также их значительные усовершенствования за счет оснащения твердотельными кристаллами, состоящими из сплава теллуридов кадмия и цинка, и инновационными конструкциями коллиматоров привели к возобновлению интереса к ОФЭКТ-визуализации с 99mTc [9]. Все вышеперечисленное делает разработку радиофармацевтических лекарственных препаратов с 99mTc, нацеленных на ПСМА, весьма перспективным направлением ядерной медицины.
Биология простат-специфического мембранного антигена и структурные особенности его низкомолекулярных ингибиторов
ПСМА, также известный как фолатгидролаза I или глутаматкарбоксипептидаза II, представляет собой трансмембранный несекреторный гликопротеин с молекулярной массой примерно 100 кДа, состоящий из 750 аминокислот. ПСМА характеризуется наличием трех основных сегментов: короткого N-концевого внутриклеточного участка, трансмембранного домена и большого внеклеточного участка (С-конца) [10]. Наиболее важен внеклеточный сегмент, так как именно он содержит каталитический домен и цинксодержащий субстрат-связывающий сайт, способный взаимодействовать со специ-фическими ПСМА-ингибиторами.
В норме наличие ПСМА отмечено в клетках и тканях человека, таких как слезные и слюнные железы, предстательная железа, проксимальные канальцы почек, тонкая кишка, щитовидная и молочная железы [11]. Все гистологические типы РПЖ, особенно низкодифференцированные, метастатические и гормонорезистентные опухоли, характеризуются повышенной экспрессией ПСМА [12]. Более того, повышенная экспрессия ПСМА отмечена в участках метастазирования первичной опухоли РПЖ в лимфатические узлы и кости, а также в неоваскулярном эпителии многих солидных опухолей различных локализаций: почек, молочной железы, толстой кишки, щитовидной железы и др. [11]. Таким образом, ПСМА представляет собой превосходную молекулярную мишень как для визуализации, так и для терапии РПЖ.
Необходимо подчеркнуть, что из-за экспрессии ПСМА в некоторых здоровых тканях, особенно в почках, слюнных и слезных железах, именно эти органы будут являться «критическими» при проведении радионуклидной диагностики и особенно радионуклидной терапии с низкомолекулярными ингибиторами ПСМА [11]. Поэтому крайне важно оценивать уровни поглощения радиофармацевтических лекарственных препаратов органами, чтобы предотвратить нежелательные побочные эффекты, обусловленные повышенной дозовой нагрузкой.
ПСМА обладает двойственной природой, являясь не только рецепторным белком, но и ферментом, обеспечивая протеолиз нейропептида N-ацетил-L-аспартил-L-глутамата в центральной нервной системе и гидролиз поли-γ-глутамилфолата в тонкой кишке [10]. В связи с этим радиолиганды, нацеленные на ПСМА, можно разделить на две группы. К первой относятся специфические моноклональные антитела и аптамеры — короткие одноцепочечные молекулы РНК или ДНК, способные с высокой аффинностью и специфичностью связываться с молекулами-мишенями [10]. Ферментативная активность ПСМА стала мишенью для разработки низкомолекулярных ингибиторов ПСМА. В отличие от антител, низкомолекулярные ингибиторы ПСМА обладают небольшими размерами, что способствует их быстрому клиренсу из крови, лучшему проникновению в опухоль и быстрой экскреции с мочой [6]. После связывания радиолиганда с ПСМА происходит интернализация комплекса внутрь клетки путем клатрин-опосредованного эндоцитоза, после чего он высвобождается в цитоплазме, равномерно распределяясь в ней с течением времени, а рецептор рециклируется [13].
Одним из факторов, определивших широкое распространение низкомолекулярных ингибиторов ПСМА, стало изучение кристаллической структуры ПСМА. Сайт ферментативного связывания ПСМА организован в виде тоннеля неправильной формы длиной ~ 20 Å, который можно условно разделить на три части: участок, или карман, ответственный за распознавание глутамата (glutamate recognition pocket, S1’); активный центр, содержащий два атома цинка (zinc active site), и входную воронку неправильной формы, соединяющую внеклеточную поверхность ПСМА с активным центром фермента [10, 14]. В воронке также имеются аргининовый участок (arginine patch), дополнительный гидрофобный карман (accessory hydrophobic pocket, S1) и арен-связывающий участок (arene-binding site) [14].
Эти структурные особенности ПСМА отражены в дизайне ингибиторов, которые, как правило, состоят из трех основных частей: 1) специфического ПСМА-связывающего мотива (содержащего глутамат и функциональную группу, координирующую ионы Zn2+ активного центра ПСМА); 2) мотива, связывающего радиоактивную метку, (хелатора) и 3) линкерной группы, которая соединяет участок связывания и хелатор [11]. Вообще низкомолекулярные ингибиторы ПСМА очень наглядно демонстрируют зависимость структура–свойство и, соответственно, важность химической природы каждого фрагмента — ПСМА-связывающего мотива, линкера и хелатора — для достижения необходимой фармакокинетики конечной молекулы. Эта конструкция допускает дискретные модификации всех трех структурных элементов с потенциально значительным воздействием на аффинность, фармакокинетику и фармакодинамику молекулы.
Широкое использование 99mTc в диагностической ядерной медицине способствовало разработке ингибиторов ПСМА с 99mTc. На сегодняшний день известно три класса ингибиторов ПСМА: 1) лиганды на основе фосфора, 2) тиолы и 3) лиганды на основе мочевины [11, 12]. Наиболее изучены соединения на основе производных мочевины, дошедшие до клинического применения. Базовая химическая структура большинства таких лигандов содержит ПСМА-связывающие фрагменты «глутамат–мочевина–глутамат» (Glu–Urea–Glu, EuE) и «глутамат–мочевина–лизин» (Glu–Urea–Lys, EuK), необходимые для связывания с активным центром ПСМА [12].
Низкомолекулярные ингибиторы простат-специфического мембранного антигена, меченные 99mTc
Получение 99mTc из генератора 99W/99mTc возможно только в виде пертехнетата натрия Na99mTcO4, который необходимо восстанавливать до более низкой степени окисления для введения в структуру биомолекулы. Для этого используют слабый лиганд, который стабилизирует 99mTc в необходимой степени окисления, а затем этот комплекс конъюгируют с хелатором [15].
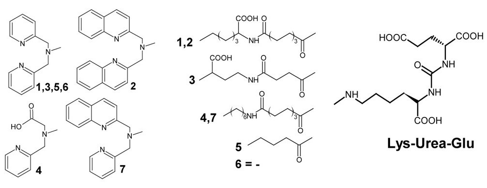
Одним из широко используемых комплексов для получения меченных 99mTc ингибиторов ПСМА является трикарбонил-технеций(I) [99mTc(CO)3]+. В опубликованной в 2008 г. работе [16] группа исследователей из Медицинского института Джона Хопкинса (Johns Hopkins Medical Institutions, США) сообщила о синтезе соединений с использованием [99mTc(CO)3]+ на основе Glu–Urea–Lys с линкерами переменной длины и различными хелаторами (бис-пиридил, бис-хинолин и др.) (табл. 1). Исследования показали, что с увеличением длины линкера существенно возрастает аффинность полученных конъюгатов к ПСМА. ОФЭКТ/КТ-визуализация была проведена на мышах SCID, несущих как ксенотрансплантаты ПСМА(+) PC3-PIP, так и ПСМА(–) PC3-flu. Все соединения, за исключением 6 и 7, позволили визуализировать опухоль PC3-PIP. Лиганды (1–3), продемонстрировавшие наиболее высокую контрастность опухоли по отношению к фону в ходе ОФЭКТ/КТ-визуализации, были исследованы ex vivo, в результате чего отмечено ПСМА-специфичное поглощение этих соединений опухолью. Максимальное накопление препаратов в опухоли было отмечено уже через 0,5–1 ч после инъекции (7,87 ± 3,95 %/г и 11,56 ± 2,86 %/г для лигандов 1 и 3 соответственно), после чего их содержание быстро снижалось (до ~ 0,75-0,80 %/г через 5 ч после введения). Аналогичный характер распределения был зарегистрирован в почках (до 178,56 ± 35,45 %/г) и селезенке (до 32,07 ± 16,36 %/г) [16].
Таблица 1. Меченные 99mTc низкомолекулярные ингибиторы ПСМА
Комплекс с 99mTc (год публикации) | Хелатор/Линкер/ПСМА-связывающий мотив | Тест-система и опухолевая модель | Основные результаты | Дальнейшее применение в клинике | Ссылка |
[99mTc(CO)3]+ (2008) | Мыши SCID с ксенотрансплантатами PC3-PIP (ПСМА+) и PC3-flu (ПСМА–) | ПСМА-специфичное поглощение опухолью (до 7,87 ± 3,95 %/г для 1) с максимальным накоплением через 0,5–1 ч после инъекции. Высокое поглощение почками и селезенкой с последующим быстрым выведением | Нет | [16] | |
[99mTc(CO)3]+ (2013) | Мыши SCID с ксенотрансплантатами PC3-PIP (ПСМА+) и PC3-flu (ПСМА–) | ПСМА-специфичное поглощение опухолью и длительное удержание (28,31 ± 4,4 и 23,22 ± 6,02 %/г через 0,5 и 5 ч соответственно для 8). Высокое неспецифическое поглощение печенью (до 28,9 ± 17,9 %/г) и селезенкой (21,1 ± 8,5 %/г) через 0,5 ч после инъекции | Нет | [17] | |
[99mTc(CO)3]+ (2013) | Мыши NCr-nu/nu с ксенотрансплантатами LNCaP (ПСМА+) и PC3 (ПСМА–) | Высокое поглощение и длительное удержание опухолью (9,3–12,4 %/г через 1 ч и 7,2–11,0 %/г через 4 ч после инъекции). Высокие значения отношений опухоль/кровь (от 29:1 до 550:1) и опухоль/мышца (от 31:1 до 157:1). Накопление в печени и тонкой кишке < 1 %/г. Быстрое выведение почками | Да | ||
[99mTc(CO)3]+ (2016) | Мыши C.B.-17/Icr +/+ Jcl и C.B. 17/Icr scid/scid Jcl с ксенотрансплантатами LNCaP (ПСМА+) и PC3 (ПСМА–) | ПСМА-специфичное поглощение опухолью (до 12,8 ± 2,2 %/г через 30 мин после введения). Накопление в печени < 5,7 %/г | Нет | [20] | |
[99mTc(CO)3]+ (2020) | Мыши BALB/c nude с ксенотрансплантатами 22Rv1 (ПСМА+) | Умеренное поглощение опухолью (1,48–1,87 %/г через 1 ч и 0,81–2,83 %/г через 4 ч после инъекции). Максимальное поглощение почками не превышало 59,59 ± 2,2 %/г для 16 и 39,68 ± 2,2 %/г для 17 | Нет | [21] | |
[99mTc(CO)3]+ (2020) | Мыши BALB/c nude с ксенотрансплантатами LNCaP (ПСМА+) | ПСМА-специфичное поглощение опухолью (4,86 ± 1,19 %/г через 1 ч после инъекции). Высокое поглощение почками (70,95 ± 12,28 %/г) и селезенкой (5,84 ± 1,51 %/г). Отношения опухоль/кровь и опухоль/мышца составили 2,89 и 12,46 соответственно | Нет | [22] | |
[TcO]3+ (2009) | Бестимусные мыши nu/nu с ксенотрансплантатами LNCaP (ПСМА+) | ПСМА-специфичное поглощение опухолью лигандов 22, 23 и 24 (в среднем 9,8 ± 2,4 %/г через 4 ч после инъекции). Высокое поглощение почками (в среднем 28,3 %/г) и низкое — нецелевыми органами (<1 %/г в срок 4 ч) | Нет | [23] | |
[TcO]3+ (2013) | Мыши SCID с ксенотрансплантатами PC3-PIP (ПСМА+) и PC3-flu (ПСМА–) | ПСМА-специфичное поглощение опухолью (42,46 ± 4,37 %/г через 1 ч после инъекции для лиганда 29). Высокое накопление и удержание почками (139,5–162,3 %/г) и селезенкой (45,45–97,78 %/г в течение 5 ч) | Нет | [17] | |
[TcO]3+ (2017) | Мыши CB17-SCID с ксенотрансплантатами LNCaP (ПСМА+) | ПСМА-специфичное поглощение опухолью лиганда 34 (8,28 ±3,27 %/г через 1 ч после инъекции). Высокое накопление почками (186 ± 23 %/г) и селезенкой (47 ± 17 %/г). В остальных органах – менее 3 %/г | Да | [24] | |
[Tc-HYNIC]2+ (2013) | Мыши SCID с ксенотрансплантатами PC3-PIP (ПСМА+) и PC3-flu (ПСМА–) | Высокое и неизбирательное поглощение внутренними органами и тканями | Нет | [17] | |
[Tc-HYNIC]2+ (2017) | Бестимусные мыши с ксенотрансплантатами LNCaP (ПСМА+) и PC3 (ПСМА–) | ПСМА-специфичное поглощение опухолью (до 10,22 ± 2,96 %/г через 1 ч после инъекции). Накопление в почках — до 23,63 ± 3,56 %/г, в печени — до 2,18 ± 0,19 %/г. В остальных органах и тканях — менее 2%/г | Да | [27] | |
[Tc-HYNIC]2+ (2017) | Мыши SCID с ксенотрансплантатами LNCaP (ПСМА+) и PC3-flu (ПСМА–) | ПСМА-специфичное поглощение опухолью (14,13 ± 2,95; 19,45 ± 2,14 и 11,23 ± 2,8 %/г через 1, 2 и 4 ч после инъекции соответственно). Высокое поглощение почками (> 100 %/г). Накопление в нецелевых органах — не более 3 %/г через 1 ч после введения | Да | [4] | |
[Tc-HYNIC]2+ (2020) | Бестимусные мыши nu/nu с ксенотрансплантатами LNCaP (ПСМА+) и PC3-flu (ПСМА–) | ПСМА-специфичное поглощение опухолью (3,62 ± 0,78 %/г для лиганда 38; 1,8 ± 0,32 %/г для лиганда 39 и ~1 %/г для лиганда 40 через 1 ч после инъекции). Высокое накопление в почках (~80-100 %/г) и селезенке (~4 %/г) | Нет | [28] | |
[Tc-HYNIC]2+ (2020) | Здоровые мыши BALB/c | Максимальное поглощение отмечалось в почках (37,5 ± 9,4 %/г через 4 ч после инъекции). В остальных органах и тканях содержание препарата было менее 1%/г | Да | [29] | |
99mTcO4– (2019) | Здоровые мыши Swiss | Высокое поглощение почками (42,2 ± 2,9 и 29,9 ± 3,8 %/г через 1 и 3 ч после введения соответственно). В остальных органах накопление не превышало 3 %/г | Нет | [30] |
Примечание. ПСМА+ — опухоль, экспрессирующая ПСМА; ПСМА– — опухоль без экспрессии ПСМА.
Позднее той же группой ученых были оценены еще три соединения на основе Glu–Urea–Lys, меченных [99mTc(CO)3]+ [17] (см. табл. 1). Среди протестированных соединений конъюгат, содержащий лизин, функционализированный 1,4-дизамещенным 1,2,3-триазолом в качестве хелатора (лиганд 8), продемонстрировал наиболее высокое специфическое накопление и длительное удержание в опухоли (28,31 ± 4,4 %/г и 23,22 ± 6,02 %/г через 0,5 и 5 ч соответственно). Также отмечалось высокое поглощение препарата почками в ранние сроки после введения (122,70 ± 14,73 %/г) и медленное снижение (до 55,31 ± 1,15 %/г в течение последующих 5 ч).
Еще одна серия ингибиторов ПСМА с 99mTc, меченных с помощью [99mTc(CO)3]+, была разработана компанией MIP (Molecular Insight Pharmaceuticals Inc., США) [18, 19]. Соединения содержали основу Lys–Urea–Glu или Glu–Urea–Glu и были связаны через различные линкеры с четырьмя разными хелаторами (см. табл. 1). Наибольшую аффинность связывания с ПСМА in vitro проявляли конъюгаты, содержащие хелаторы CIM и TIM [18].
В экспериментах in vivo 99mTc-MIP-1404 (99mTc-Trofolastat) продемонстрировал наилучшее сочетание высокого поглощения опухолью и быстрого выведения из почек и нецелевых тканей, что было подтверждено ОФЭКТ/КТ-визуализацией. Исследования на животных моделях с ксенотрансплантатами LNCaP показали высокое поглощение опухолью 99mTc-MIP-1404 через 1 ч после инъекции (10,3 ± 2,5 %/г), которое сохранялось в течение 4 ч (11,0 ± 4,1 %/г). За счет быстрого выведения препарата из крови, почек и нецелевых тканей отношения опухоль/ кровь достигали 79 и 550 через 1 и 4 ч соответственно [19]. 99mTc-MIP-1404 и 99mTc-MIP-1405 были выбраны для дальнейших клинических исследований.
В другом исследовании Н. Kimura et al. [20] синтезировали новый анионный 99mTc-трикарбонильный комплекс (99mTc-TMCE) с высокой гидрофильностью. 99mTc-TMCE продемонстрировал высокое сродство к ПСМА in vitro, а также высокую аккумуляцию in vivo в опухоли (4,0 ± 1,2; 12,8 ± 2,2 и 5,0 ± 2,7 %/г через 5, 30 и 120 мин после инъекции соответственно) и низкое поглощение печенью (5,7 ± 1,0; 2,3 ± 0,3 и 1,1 ± 0,1 %/г через 5, 30 и 120 мин после инъекции соответственно) [20]. Особенно высокое накопление было отмечено в почках (124,9 ± 26,2; 136 ± 6,4 и 56,8 ± 20,6 %/г через 5, 30 и 120 мин после введения) [20]. По сравнению с нейтральными и положительно заряженными радиолигандами с трикарбонильным ядром, полученными S.R. Banerjee et al. [17], комплекс 99mTc-TMCE характеризовался ускоренным печеночным и почечным клиренсом.
Подобно карбонильным функциональным группам, изонитрильные группы (C≡NR) являются превосходными лигандами для стабилизации технеция в низких степенях окисления с образованием очень стабильных монокатионных шестикоординированных комплексов типа [99mTc(CO)3(CN-R)3]. В 2020 г. была опубликована работа [21], в которой для визуализации РПЖ были предложены конъюгаты на основе изонитрильных производных ингибиторов ПСМА, меченные с помощью [Тс(СО)3(Н2О)3]+ (см. табл. 1). Полученные комплексы (99mTc-16 и 99mTc-17), содержащие три карбонильные группы и три изонитрильных заместителя ПСМА, могут рассматриваться как мультивалентные ингибиторы, потенциально способные связывать три рецепторных участка ПСМА одновременно. При иcследовании биораспределения ex vivo было отмечено быстрое накопление 99mTc-17 (с 1,87 ± 0,11 до 2,83 ± 0,26 %/г через 1 и 4 ч после введения соответственно). Другой препарат, 99mTc-16, показал умеренное поглощение опухолью (1,48 ± 0,18 %/г), которое снижалось до 0,81 ± 0,09 %/г через 4 ч после инъекции. Выведение осуществлялось преимущественно через почки. ОФЭКТ/КТ-визуализация с новыми радиолигандами продемонстрировала четкую визуализацию опухоли и тканей, экспрессирующих ПСМА, уже через 1 ч после инъекции [21].
Изонитрильные группы также могут координироваться с Tc(I) с образованием очень стабильных монокатионных шестикоординированных гомолептических соединений. Китайскими учеными был получен комплекс [99mTc(CN-R)6]+ (99mTc-CNGU) [22] (см. табл. 1). При изучении биораспределения на мышах BALB/c nude с опухолями LNCaP было показано, что комплекс накапливался в опухоли до 4,86 ± 1,19 %/г и снижался до 1,74 ± 0,90 %/г после предварительной инъекции селективного ингибитора ПСМА [22]. Низкое поглощение печенью (2,46 ± 0,72 %/г) и кишечником (2,16 ± 0,34 %/г) и высокое накопление почками (70,95 ± 12,28 %/г) свидетельствуют о том, что 99mTc-CNGU выводится через мочевыделительную систему, а не гепатобилиарным путем. Низкое поглощение препарата щитовидной железой (0,01 ± 0,00 %/г) и желудком (0,64 ± 0,72 %/г) указывало на стабильность комплекса in vivo. Дальнейшие перспективы авторы связывают с клиническими исследованиями данного препарата.
Для связывания 99mTc с лигандами, нацеленными на ПСМА, также используют оксотехнеций [Tc=O]3+. Соединения такого типа образуют очень устойчивые комплексы с хелатирующими агентами в водных растворах, преимущественно с тетрадентатными лигандами [15]. Кроме того, такие соединения могут быть представлены в виде цис- и трансизомеров из-за различной ориентации функциональных групп относительно связи Tc=O, которые, однако, легко разделить [11, 15]. Вдобавок комплексы с оксотехнецием [TcO]3+ могут быть получены с высокими радиохимическими выходами в одну стадию [11].
В работе [23] сообщалось о серии соединений, нацеленных на ПСМА и помеченных с использованием [TcO]3+. Было обнаружено, что из шести синтезированных соединений три способны связываться с ПСМА с наномолярным сродством и высокой специфичностью. Те же три радиолиганда (22–24) демонстрировали высокое поглощение опухолью LNCaP in vivo (в среднем 9,8 ± 2,4 %/г через 4 ч после введения) и невысокое (< 1 %/г) накопление в других тканях, кроме почек (до 28,3 %/г) [23].
Серия [TcO]3+-меченых ингибиторов ПСМА была представлена в работе [17]. Все соединения оценивали in vivo с помощью ОФЭКТ/КТ-визуализации на мышах с ксенотрансплантатами ПСМА-позитивной опухоли PC3-PIP. Различия в фармакокинетических профилях и поглощении почками полученных соединений объясняются различными зарядами, полярностью и разным количеством гидрофильных функциональных групп в структуре хелатора. Так, наличие карбоксильных групп на боковой цепи хелатора способствовало более высокому накоплению в опухоли и снижению радиоактивности в здоровых тканях, что приводит к более высоким значениям отношений опухоль/фон [17]. Наиболее благоприятным фармакокинетическим профилем обладал лиганд 29. В эксперименте ex vivo было отмечено высокое накопление этого препарата в опухоли (30–42,46 %/г), почках (139,5–162,3 %/г) и селезенке (45,45–97,78 %/г), что делает невозможным его дальнейшее применение в клинике [17].
В 2017 г. была опубликована работа [24], в которой сообщалось о получении нового РФЛП 99mTc-PSMA I&S (imaging and surgery), предназначенного для интраоперационного обнаружения единичных и атипично локализованных метастазов в лимфатических узлах (см. табл. 1). Первоначально для ПСМА-радионавигационной хирургии применялись лиганды PSMA-617 и PSMA I&T, меченные 111In [25, 26]. Однако из-за ограниченной доступности и высокой стоимости циклотронного радионуклида 111In (Т1/2 = 2,8 сут; Eγ = 171 кэВ (90,2%); 245 кэВ (94,0%)), а также высокой лучевой нагрузки на пациента и персонал данные РФЛП не получили широкого распространения в клинике [8].
ПСМА-связывающий мотив 99mTc-PSMA I&S представлен последовательностью Glu–Urea–Lys, а в качестве хелатирующей группы был использован 2-меркаптоацетил-D-серин-D-серин-D-серин (mas3). Кроме того, параллельно исследовали аналог, содержащий L-аминокислотный хелатор MAS3 (99mTc-MAS3-y-nal-k(Sub-KuE)), который предположительно может подвергаться протеолитическому расщеплению под действием эндопептидазы.
Препарат 99mTc-PSMA I&S продемонстрировал улучшенную интернализацию и высокую стабильность in vivo по сравнению с 99mTc-MAS3-y-nal-k(Sub-KuE), благодаря чему был выбран для дальнейших исследований in vivo. Высокая стабильность 99mTc-PSMA I&S in vivo обеспечивает длительную доступность индикатора в кровотоке, что с течением времени приведет к постепенному увеличению накопления 99mTc-PSMA I&S в опухолевых очагах, экспрессирующих ПСМА, и позволит обеспечить высокую контрастность изображений за счет роста отношений опухоль/фон. Из-за выраженного связывания с белками плазмы 99mTc-PSMA I&S продемонстрировал в 7 раз более высокую концентрацию в крови (1,73 ± 0,50 %/г) через 1 ч после инъекции, чем 111In-PSMA-I&T (0,24 ± 0,05 %/г). При этом накопление препаратов в тканях, экспрессирующих ПСМА (селезенка, почки и опухоль LNCaP), было практически одинаковым для 99mTc-PSMA I&S и 111In-PSMA-I&T [24]. На основании этих результатов в настоящее время проводятся клинические исследования 99mTc-PSMA I&S.
Соединение HYNIC (6-гидразиноникотиновая кислота) считается эффективным бифункциональным хелатором для связывания 99mTc с ингибиторами ПСМА. Карбоксильная группа используется для конъюгации с фармакофором ПСМА-ингибиторов, в то время как гидразинопиридиновая часть прочно связывает 99mTc. Поскольку HYNIC может занимать только один или два координационных центра 99mTc, для завершения координационной сферы технеция необходимы солиганды, которые могут оказать существенное влияние на стабильность, липофильность и биораспределение конъюгатов 99mTc-HYNIC. Кроме того, такой подход позволяет получать РФЛП с высокой радиохимической чистотой без необходимости дальнейшей очистки, что крайне удобно в клинических условиях. Необходимо подчеркнуть, что структура конъюгатов 99mTc-HYNIC однозначно не определена, поскольку неизвестно, координируется ли HYNIC с 99mTc только через гидразиновую группу или через гидразиновую и пиридильную группы [15]. Происходит образование нескольких изомеров, практически не разделяемых и не поддающихся индивидуальной оценке. Впервые использование HYNIC в качестве хелатора для получения меченных 99mTc ингибиторов ПСМА было описано в работе [17] (см. табл. 1). Полученное соединение характеризовалось низким поглощением в ПСМА(+) опухоли и, соответственно, неизбирательным накоплением в остальных органах и тканях [17].
Еще одним примером ингибитора ПСМА, полученного на основе HYNIC, является 99mTc-EDDA/HYNIC-Lys(Nal)-Urea-Glu (99mTc-EDDA/HYNIC-iPSMA), разработанный учеными из Мексики [27] (см. табл. 1). Исследования in vitro и in vivo показали высокую стабильность полученного радиолиганда и специфическое связывание с ПСМА с последующей интернализацией в клетки. При проведении доклинических исследований на животных с трансплантатом LNCaP поглощение опухолью достигало 10,22 ± 2,96 и 9,84 ± 2,63 %/г через 1 и 3 ч после введения соответственно. В остальных органах и тканях, за исключением почек и печени, накопление 99mTc-EDDA/HYNIC-iPSMA не превышало 2 %/г [27]. В настоящее время препарат проходит I фазу клинических исследований.
Еще один ингибитор ПСМА (99mTc-HYNIC-ALUG-Lys-Urea-Glu (ALUG — аминокапроновая кислота)), дошедший до стадии клинических исследований, был разработан в Китае [4]. В экспериментах ex vivo препарат накапливался в ксенотрансплантатах ПСМА(+) опухоли LNCaP (до 19,45 ± 2,14 %/г через 2 ч после введения). Основными недостатками 99mTc-HYNIC-ALUG были высокое поглощение и длительное удержание активности в почках (до 195,50 ± 7,1 %/г).
М. Mosayebnia et al. [28] разработали несколько HYNIC-пептидов, несущих фармакофор Glu–Urea–Lys ([Glu-Urea-Lys(OMe)-Gly-Ala-Asp-(Naphthyl)Ala-HYNIC] и [Glu-Urea-Lys(OMe)-GABA-Tyr-Phe-Lys-HYNIC], и новый фармакофор, не содержащий мочевины (Glu-GABA-Asp-Gly-Ala-Gly-HYNIC) (см. табл. 1). Лиганд 38 проявлял наивысшую аффинность связывания, наибольшую стабильность и высокую специфическую аккумуляцию в опухолевых поражениях предстательной железы. Была показана возможность ОФЭКТ/ КТ-визуализации опухоли LNCaP уже через 1 ч после введения препарата. Более того, авторы отметили сравнимую эффективность и фармакокинетические свойства [Glu-Urea-Lys(OMe)-Gly-Ala-Asp-(Naphthyl)Ala-HYNIC-99mTc] с 68Ga-PSMA-11, что делает его весьма перспективным радиотрейсером для ранней диагностики РПЖ [28].
Недавно в Национальном центре ядерных исследований «Радиоизотопный центр POLATOM» (Польша) разработали новый радиолиганд, названный 99mTc-PSMA-T4 (PSMA-T4 = Glu-CO-Lys-L-Trp-4-Amc-HYNIC) [29]. Структурной особенностью препарата является наличие в структуре линкера L-триптофана, что, по мнению авторов, способствовало повышенному сродству к ПСМА in vivo и значительному улучшению биораспределения 99mTc-PSMA-T4, которое исследовали на здоровых мышах BALB/C. Показано, что препарат характеризовался низкой аккумуляцией в органах, не являющихся мишенями (< 1 %/г через 4 ч после введения), в частности, наблюдалось относительно низкое поглощение почками (37,5 ± 9,5 %/г) [29]. Дальнейшая оценка препарата осуществлялась уже в рамках клинических исследований и подробно представлена в следующем разделе.
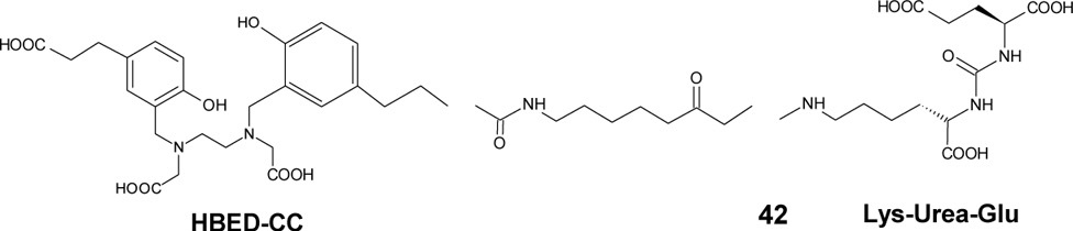
Учеными из Индии была предпринята попытка пометить 99mTc лиганд PSMA-11 (HBED-CC-PSMA) [30]. PSMA-11 состоит из мотива Glu–Urea–Lys, конъюгированного с ациклическим хелатором N,N’-бис[2-гидрокси-5-(карбоксиэтил)бензил]-этилендиамин-N,N’-диуксусная кислота (HBED-CC) через линкер из аминогексановой кислоты (см. табл. 1). 99mTc-PSMA-11 обладал высокой специфичностью в отношении ПСМА(+) клеток LNCaP in vitro и характеризовался стандартным физиологическим распределением в организме здоровых мышей с преимущественным накоплением в почках и быстрым выведением из крови, печени, кишечника, легких и других органов через 3 ч после введения. Кроме того, 99mTc-PSMA-11 позволил успешно идентифицировать первичные опухоли, а также метастатические поражения у пациентов с РПЖ [30].
Клинические исследования
Основными требованиями к радиофармацевтическим лекарственным препаратам для клинического применения являются: эффективная процедура маркировки, высокая концентрация в опухоли, высокая специфичность связывания, определяемая накоплением препарата клетками ПСМА(+), более длительное удержание в опухоли по сравнению с почками, а также низкое поглощение нецелевыми органами и тканями, преимущественно печенью и другими органами желудочно-кишечного тракта [15]. Среди вышеупомянутых 99mTc-меченных ингибиторов ПСМА пять прошли хотя бы одну фазу клинических испытаний, в ходе которой оценивались безопасность и переносимость радиофармацевтических лекарственных препаратов, а также определялись чувствительность и специфичность диагностики с данными препаратами.
Препараты 99mTc-MIP-1404 и 99mTc-MIP-1405 стали первыми ингибиторами ПСМА с 99mTc, достигшими стадии клинических исследований (табл. 2). В I фазе клинического исследования 99mTc-MIP-1404 и 99mTc-MIP-1405 участвовали 6 здоровых мужчин и 6 мужчин с рентгенологически подтвержденным метастатическим РПЖ [31]. Оба препарата быстро выводились из кровотока (клиренс 99mTc-MIP-1404 составил 283 ± 100 мл/ч/ кг, 99mTc-MIP-1405 — 200 ± 45 мл/ч/кг у здоровых мужчин). У здоровых добровольцев и у пациентов с метастатическим РПЖ наиболее высокое поглощение обоих препаратов наблюдалось в околоушных и слюнных железах, печени, почках и желудочно-кишечном тракте. У 5 из 6 пациентов с РПЖ планарное сканирование всего тела с обоими РФЛП позволило четко идентифицировать все метастатические поражения, ранее обнаруженные при сканировании костей. У пациента, перенесшего простатэктомию, визуализация как с 99mTc-MIP-1404, так и с 99mTc-MIP-1405 позволила выявить больше метастатических поражений, чем остеосцинтиграфия, проведенная 2 мес назад. Эффективная доза облучения всего тела после однократного введения диагностической дозы 99mTc-MIP-1404 и 99mTc-MIP-1405 (740 ± 111 МБк) составила примерно 6 мЗв, что аналогично радиационному облучению после остеосцинтиграфии. Оба радиоконъюгата быстро выводились из организма через почки, причем накопление 99mTc-MIP-1404 в мочевом пузыре (7% от введенной дозы) было ниже, чем 99mTc-MIP-1405 (26% от введенной дозы). Предполагается, что из-за этого 99mTc-MIP-1404 будет иметь преимущество перед 99mTc-MIP-1405 при визуализации опухолевых поражений в предстательной железе и малом тазу на ранних стадиях заболевания и в случае биохимического рецидива [31].
Таблица 2. РФЛП на основе низкомолекулярных ингибиторов ПСМА, меченных 99mTc, находящиеся на стадии клинических исследований
РФЛП, стадия клинического исследования | Показания к применению | Преимущества | Недостатки |
99mTc-MIP-1404 (99mTc-Trofolastat) III фаза: NCT02615067 | Первоначальная диагностика РПЖ, мониторинг прогрессирования заболевания и ответа на лечение | Возможность визуализировать РПЖ в области малого таза на ранних стадиях заболевания. Успешное выявление небольших (< 10 мм) метастатических поражений в костях и лимфатических узлах | Чувствительность ОФЭКТ/КТ с 99mTc-MIP-1404 ниже (40–58%), чем ПЭТ/КТ с 68Ga-PSMA-11, при низких уровнях ПСА (0,2–2 нг/мл) |
99mTc-PSMA I&S II фаза: NCT04832958 | Радионавигационная хирургия для обнаружения лимфатических узлов с метастазами или остаточной опухолевой ткани. ОФЭКТ-визуализация РПЖ | Высокая чувствительность визуализации поражений, ранее выявленных с помощью 68Ga-PSMA11. Высокое накопление в лимфоузлах с метастазами, что позволяет проводить точную интраоперационную идентификацию и резекцию во время радионавигационной хирургии | Достаточная для визуализации контрастность опухоль/фон достигается лишь через 5 ч после инъекции. Чувствительность ОФЭКТ с 99mTc-PSMA I&S у пациентов с биохимическим рецидивом и низким уровнем ПСА (< 4 нг/мл) была существенно ниже по сравнению с ПЭТ-визуализацией с 68Ga-PSMA-11 |
99mTc-EDDA/HYNIC-iPSMA I фаза | Первоначальная диагностика РПЖ и мониторинг прогрессирования заболевания. Подходит для выявления ПСМА+ поражений перед радиолигандной терапией | Быстрое выведение из крови и мочи, что позволяет визуализировать РПЖ в области малого таза уже через 3 ч после введения. Более низкая эффективная доза облучения по сравнению с 99mTc-MIP-1404. Возможность визуализировать метастазы в костях, лимфатических узлах, головном мозге | Более низкая чувствительность визуализации поражений небольшого размера по сравнению с 68Ga-PSMA-11 (лишь 28% лимфоузлов размером < 10 мм было визуализировано с 99mTc-EDDA/HYNIC-iPSMA) |
99mTc-HYNIC-ALUG I фаза | Первоначальная диагностика РПЖ и мониторинг прогрессирования заболевания. Рассматривается возможность применения для радионавигационной хирургии | Эффективное выявление рецидивов РПЖ при уровне ПСА более 1,30 нг/мл. Чувствительность ОФЭКТ/КТ с 99mTc-HYNIC-ALUG при обнаружении метастазов (78%) выше, чем остеосцинтиграфии (34%) и МРТ (40%) | Высокое накопление в почках затрудняет интерпретацию сцинтиграфических изображений |
99mTc-PSMA-T4 I фаза | Первоначальная диагностика РПЖ и мониторинг прогрессирования заболевания и ответа на лечение. Подходит для выявления ПСМА+ поражений перед радиолигандной терапией | Оптимальный фармакокинетический профиль, позволяющий визуализировать PSMA+ поражения в течение 3 ч после введения | Высокое накопление в почках и почечная экскреция могут затруднять интерпретацию изображений. Более низкая чувствительность визуализации метастазов по сравнению с 68Ga-PSMA-11 |
Фаза II многоцентрового исследования 99mTc-MIP-1404 была проведена на 105 пациентах с подтвержденным РПЖ с высоким риском метастазирования, у которых была запланирована радикальная простатэктомия в течение 21 дня после визуализации [32]. ОФЭКТ/ КТ-визуализация продемонстрировала способность обнаруживать рак простаты у 98 пациентов (94%) с высокой точностью по сравнению с гистологией. Чувствительность и специфичность ОФЭКТ/КТ с 99mTc-MIP-1404 в обнаружении лимфатических узлов составила 50 и 87% соответственно [32].
В работе [33] было показано, что ОФЭКТ/КТ с 99mTc-MIP-1404 позволяет выявлять метастазы в лимфатических узлах и костях с умеренной точностью при первичном стадировании РПЖ и дает возможность прогнозировать появление метастазов с чувствительностью 82% и специфичностью 76%. Кроме того, достоверность визуальной оценки ПСМА-позитивных поражений можно повысить с помощью количественного анализа изменений поглощения индикатора, измеренного с помощью ОФЭКТ/ КТ [34]. Также было обнаружено, что накопление 99mTc-MIP-1404 в первичной опухоли коррелирует с индексом Глисона и концентрацией ПСА в сыворотке [33, 35–37]. Так, в исследовании [36] с участием 60 пациентов с биохимическим рецидивом РПЖ было установлено, что при уровнях ПСА более 2 нг/мл чувствительность ОФЭКТ/КТ с 99mTc-MIP-1404 (91,4%) и значения SUV для опухолевых поражений были сопоставимы с данными, полученными при проведении ПЭТ/КТ с 68Ga-ПСМА-11 (74,2–83,8%). Однако при уровне ПСА ниже 2 нг/мл чувствительность ОФЭКТ/КТ с 99mTc-MIP-1404 составила всего 40,0%, что ниже по сравнению с 68Ga-PSMA-11 (68,8%) [36].
Аналогичные результаты были получены С. Schmidkonz et al. [35] в исследовании с участием 225 пациентов с биохимическим рецидивом РПЖ. Была выявлена высокая чувствительность (90%) ОФЭКТ/КТ с 99mTc-MIP-1404 при уровне ПСА выше 2 нг/мл, но если уровень ПСА был ниже 1,0 нг/мл, чувствительность снижалась до 58%. Тем не менее в ретроспективном исследовании [38] была продемонстрирована высокая эффективность 99mTc-MIP-1404 в выявлении ПСМА-позитивных поражений у пациентов с биохимическим рецидивом РПЖ и низким (от 0,5 до 1 нг/мл) и очень низким (от 0,2 до 0,5 нг/мл) уровнями ПСА в сыворотке. Чувствительность метода в этих подгруппах составила 56 и 44% соответственно [38]. 99mTc-MIP-1404 также может быть весьма эффективным для оценки ответа на лечение у пациентов с метастатическим РПЖ и биохимическим рецидивом РПЖ, которым проводят андроген-депривационную или дистанционную лучевую терапию [37, 39].
На основании положительных результатов клинических испытаний I и II фазы была проведена III фаза исследования с участием 531 пациента по оценке безопасности и эффективности ОФЭКТ/КТ с 99mTc-MIP-1404 для выявления клинически значимого РПЖ у мужчин с подтвержденным биопсией раком простаты низкой степени злокачественности. Результаты показали, что 99mTc-MIP-1404 был способен визуализировать клинически значимый РПЖ со специфичностью в диапазоне 71–75%, однако чувствительность составила всего 47–51% [40].
Еще одним меченным 99mTc радиолигандом к ПСМА, достигшим стадии клинических исследований, является 99mTc-PSMA I&S — радиотрейсер для радионавигационной хирургии РПЖ (см. табл. 2). Этот метод заключается во внутривенном введении специфически связывающегося с ПСМА РФЛП с 99mTc и последующем определении локализации метастатических лимфатических узлов или остаточной опухолевой ткани по излучению радионуклида с помощью гамма-зонда. Исследования биораспределения 99mTc-PSMA I&S у пациента с метастатическим кастрат-резистентным раком предстательной железы (мКРРПЖ) показали относительно медленный клиренс 99mTc-PSMA I&S из-за значительного связывания с белками плазмы крови (94%), что способствовало эффективному поглощению препарата опухолевыми очагами РПЖ и метастазами в лимфатических узлах, а также неуклонному росту численных значений отношений опухоль/фон, вплоть до 21 ч после инъекции [24]. Пациенту с мКРРПЖ и подтвержденными метастазами в подвздошные и паховые лимфатические узлы была выполнена пред-операционная ОФЭКТ/КТ (через 12 ч после инъекции), которая показала высокое поглощение 99mTc-PSMA I&S всеми подозрительными поражениями, идентифицированными ранее с помощью ПЭТ/КТ с 68Ga-PSMA-11. Проведенное спустя 16 ч после инъекции хирургическое вмешательство с интраоперационным радиологическим контролем позволило успешно обнаружить метастазы и провести их резекцию [24].
В работе [41] были ретроспективно проанализированы результаты ПСМА-радионавигационной хирургии с 99mTc-PSMA I&S у 31 пациента с признаками рецидивирующего РПЖ после радикальной простат-эктомии и метастатическими поражениями мягких тканей, ранее выявленными с помощью 68Ga-PSMA-11. Средняя введенная активность составила 571 МБк, среднее время до операции — 19,7 ч. Было обнаружено, что 99mTc-PSMA I&S правильно идентифицировал и облегчал хирургическое удаление метастазов в диапазоне размеров от 3 до 25 мм. Более того, у двух пациентов 99mTc-PSMA I&S обнаружил метастазы размером до 3 мм, которые не были визуализированы с помощью предоперационной ПЭТ с 68Ga-PSMA-11. По результатам проведенных исследований чувствительность метода составила 83,6%, специфичность — 100% и точность — 93,0% [41].
Недавно M. Mix et al. [42] продемонстрировали высокую диагностическую эффективность 99mTc-PSMA I&S ex situ для различения лимфатических узлов с опухолью и без нее при проведении радионавигационной хирургии (чувствительность — 76,6%, специфичность — 94,4%). Кроме того, было показано, что радионавигационная хирургия с 99mTc-PSMA I&S тормозит прогрессирование заболевания у пациентов с рецидивом РПЖ после радикальной простатэктомии, причем у пациентов с единичным очагом рецидива и низким предоперационным уровнем ПСА отмечалась более длительная биохимическая безрецидивная выживаемость [43].
99mTc-PSMA I&S также может быть полезен для ОФЭКТ-визуализации РПЖ на различных клинических стадиях. В исследовании, включавшем 210 пациентов с РПЖ, чувствительность ОФЭКТ с 99mTc-PSMA I&S у пациентов с биохимическим рецидивом и низкими уровнями ПСА (< 4 нг/мл) была существенно ниже по сравнению с ПЭТ-визуализацией с 68Ga-PSMA-11 [44]. Однако при уровнях ПСА > 4 нг/мл и 10 нг/мл частота выявления ПСМА-положительных опухолевых очагов с 99mTc-PSMA I&S составила 82,9 и 100% соответственно. ОФЭКТ с 99mTc-PSMA I&S также может быть полезным для первичного или повторного стадирования распространенного рецидивирующего РПЖ [44]. Тем не менее полученные результаты требуют более систематического анализа для дальнейшей оценки диагностической эффективности 99mTc-PSMA I&S при РПЖ.
В сравнительном исследовании, включавшем 28 пациентов с РПЖ, ПЭТ/КТ-визуализация с 68Ga-PSMA-11 позволила обнаружить опухолевые очаги у 25 пациентов (89,2%), в то время как в случае ОФЭКТ/КТ с 99mTc-PSMA I&S поражения выявлены только у 20 больных (71,4%) [45]. Было показано, что ОФЭКТ/КТ с 99mTc-PSMA I&S обладает такой же чувствительностью, как ПЭТ/КТ с 68Ga-PSMA-11, при обнаружении метастазов в лимфатических узлах и костях, но меньшей чувствительностью при обнаружении поражений в области ложа предстательной железы. Более того, статистически значимой разницы в чувствительности методов при обнаружении опухолевых очагов у пациентов с уровнем ПСА > 0,5 нг/ мл выявлено не было [45].
Дозиметрические исследования 99mTc-PSMA I&S, проведенные в рамках одноцентрового исследования, показали, что эффективные дозы для 99mTc-PSMA I&S сопоставимы с таковыми для других РФЛП с 99mTc и существенно ниже, чем формируемые при введении 99mTc-MIP-1404, а также ингибиторов ПСМА, меченных 68Ga или 18F (99mTc-PSMA I&S — 0,0052 мЗв/МБк; 99mTc-MIP-1404 — 0,0088; 68Ga-PSMA-11 — 0,0236; 18F-PSMA-1007 — 0,022 мЗв/МБк) [46].
Следующим РФЛП, находящимся на стадии клинических исследований, является 99mTc-EDDA/HYNIC-iPSMA (см. табл. 2). Первые исследования, проводимые на здоровых людях, показали высокую стабильность 99mTc-EDDA/HYNIC-iPSMA в крови, специфическое распознавание ПСМА, высокое поглощение препарата опухолью и быструю элиминацию из крови через почки [27]. Дальнейшие исследования оценивали биокинетику и дозиметрию 99mTc-EDDA/HYNIC-iPSMA у 8 здоровых людей, а также его эффективность в качестве радиоиндикатора ОФЭКТ у 8 пациентов с гистологически подтвержденным РПЖ [47]. 99mTc-EDDA/HYNIC-iPSMA характеризовался более быстрым выведением из организма, а также более низкой поглощенной дозой, которая составила 3,42 мЗв / 740 МБк, по сравнению с 99mTc-MIP-1404 (6,5 мЗв / 740 МБк) и 99mTc-MIP-1405 (5,82 мЗв / 740 МБк). У всех пациентов отношение опухоль/фон было достаточно высоким: в среднем — 8,99 ± 3,27 через 3 ч, что выше, чем для 99mTc-MIP-1404 (диапазон — 3,8–6,2) [47].
Еще одно клиническое исследование было проведено на 14 пациентах с гистологически подтвержденным РПЖ для оценки чувствительности ОФЭКТ/КТ с 99mTc-EDDA/HYNIC-iPSMA и ПЭТ/КТ с 68Ga-PSMA-11 [48]. Всего на ПЭТ/КТ с 68Ga-PSMA-11 было обнаружено 46 поражений, локализованных в предстательной железе (n = 10), лимфатических узлах (n = 24) и костях (n = 12). Из них ОФЭКТ/КТ с 99mTc-EDDA/HYNIC-iPSMA выявил 36 опухолевых очагов: предстательная железа — 10/10 (100%), лимфатические узлы — 15/24 (62,5%) и кости — 11/12 (91,7%) с общей чувствительностью 78,3%. Поражения, обнаруженные на ОФЭКТ/КТ с 99mTc-EDDA/HYNIC-iPSMA, были больше по размеру (p < 0,001) и имели более высокий SUVmax (p < 0,001) по данным ПЭТ/КТ с 68Ga-PSMA-11 по сравнению с теми поражениями, которые не были визуализированы. Так, ОФЭКТ/КТ с 99mTc-EDDA/HYNIC-iPSMA обнаружил все лимфатические узлы размером более 10 мм, но лишь 28% узлов размером менее 10 мм [48]. Однако в другом исследовании [49], целью которого являлось качественное и полуколичественное сравнение ОФЭКТ/КТ с 99mTc-EDDA/HYNIC-iPSMA и ПЭТ/КТ с 68Ga-PSMA-11 у 23 пациентов с РПЖ и метастазами в кости и лимфоузлы, не было выявлено статистически значимых различий в обнаружении опухолевых поражений между методами. Практически одинаковыми были значения поглощения 99mTc-EDDA/HYNIC-iPSMA и 68Ga-PSMA-11 в лимфатических узлах, хотя их размер варьировал от 5 до 21 мм [49]. В работе [50] чувствительность обнаружения метастатических поражений методами ОФЭКТ/КТ с 99mTc-EDDA/HYNIC-iPSMA и ПЭТ/КТ с 68Ga-PSMA-11 была практически одинаковой, но ПЭТ/КТ с 68Ga-PSMA-11 позволила визуализировать больше поражений в области ложа предстательной железы.
Проведение ОФЭКТ/КТ с 99mTc-EDDA/HYNIC-iPSMA также сравнивали с 99mTc-MDP в исследовании с участием 41 пациента с гистологически подтвержденным РПЖ для оценки чувствительности обнаружения костных метастазов [51]. Результаты этого предварительного исследования не показали существенных различий между двумя РФЛП в обнаружении костных метастазов, однако 99mTc-EDDA/HYNIC-iPSMA продемонстрировал дополнительное преимущество, позволив визуализировать метастазы в лимфатических узлах и рецидив опухоли после радикальной простатэктомии у ряда пациентов.
В недавнем исследовании [52] оценивали возможности ОФЭКТ/КТ с 99mTc-EDDA/HYNIC-iPSMA для диагностики неоваскуляризации при метастазах в головной мозг и глиомах высокой степени злокачественности. Было отмечено низкое накопление 99mTc-EDDA/HYNIC-iPSMA опухолевыми клетками глиом низкой степени злокачественности из-за минимальной экспрессии ПСМА этой тканью. Напротив, повышенное поглощение РФЛП наблюдалось в метастазах головного мозга, в рецидивирующих глиомах и глиомах высокой степени злокачественности из-за сверхэкспрессии ПСМА в эндотелии сосудов этих опухолей. Это позволяет рассматривать 99mTc-EDDA/HYNIC-iPSMA как потенциальный нейровизуализирующий агент для оценки формирования сосудов опухоли при глиомах и метастазах в головной мозг.
Первое ретроспективное клиническое исследование 99mTc-HYNIC-ALUG с участием 208 пациентов позволило установить корреляцию между концентрацией ПСМА и чувствительностью ОФЭКТ/КТ с 99mTc-HYNIC-ALUG в обнаружении рецидивов РПЖ после радикальной простатэктомии [53] (см. табл. 2). ОФЭКТ/ КТ с 99mTc-HYNIC-ALUG выявила рецидив заболевания у 151 из 208 пациентов (72,6%), причем для эффективного обнаружения уровень ПСА должен быть выше 1,30 нг/мл. В другом исследовании [54] было показано, что ОФЭКТ/ КТ с 99mTc-HYNIC-ALUG может идентифицировать больше метастатических поражений и обеспечивает более высокую скорость их обнаружения, чем другие методы визуализации при различных уровнях ПСА у пациентов с РПЖ и биохимическим рецидивом. Так, чувствительность ОФЭКТ/КТ с 99mTc-HYNIC-ALUG в обнаружении метастазов составила 78,0%, в то время как при сканировании костей или МРТ эти величины составили 34,0 и 40,0% соответственно [54].
Недавно были проведены исследования 99mTc-HYNIC-ALUG в качестве радиотрейсера для радионавигационной хирургии [55], а также прогнозирования раннего ответа на лечение после лучевой терапии ионами углерода при РПЖ [56], продемонстрировав положительные результаты в обоих случаях.
Еще одним ингибитором ПСМА, участвующим в клинических исследованиях, является 99mTc-PSMA-T4 — новый радиофармацевтический лекарственный препарат, разработанный в Польше (см. табл. 2). По результатам пилотного клинического исследования у 31 пациента с РПЖ чувствительность/специфичность ОФЭКТ/КТ с 99mTc-PSMA-T4 (310-540 МБк) составили: 92/100% — при первичном РПЖ; 83/100% — при поражении тазовых лимфатических узлов; 100/95% — при поражении других лимфатических узлов и мягких тканей; 100/100% — при обнаружении костных метастазов [57].
В другом исследовании S. Sergieva et al. [58] оценили возможность клинического использования ОФЭКТ-КТ с 99mTc-PSMA-T4 у 36 пациентов с биохимическим рецидивом РПЖ (уровень ПСА — от 0,12 до 73 нг/мл). Чувствительность, специфичность и точность метода составили 84,37; 100 и 86,11% соответственно. Кроме того, авторы показали, что 99mTc-PSMA-T4 можно использовать для диагностики рецидива РПЖ и определения тактики лечения для каждого пациента, если уровень ПСА выше 0,5 нг/мл [58].
B. Singh et al. [59] сравнили эффективность ОФЭКТ-КТ с 99mTc-PSMA-T4 и ПЭТ/КТ с 68Ga-PSMA-11 при выявлении метастазов РПЖ. ПЭТ/КТ с 68Ga-PSMA-11 позволила визуализировать 112 опухолевых поражений у всех 10 пациентов, тогда как визуализация с 99mTc-PSMA-T4 обнаруживала лишь 57 поражений (51%) у 9 из 10 пациентов. Однако при использовании региональной ОФЭКТ/КТ с 99mTc-PSMA-T4 чувствительность метода увеличилась до 61,0%.
Заключение
В последние годы разработка радиофармацевтических препаратов, нацеленных на ПСМА, является одним из наиболее активных и динамично развивающихся направлений радиофармацевтических исследований. Широкое распространение радионуклида 99mTc в диагностической ядерной медицине и бόльшая доступность ОФЭКТ по сравнению с ПЭТ делают разработку препаратов, меченных 99mTc, крайне перспективной для диагностики РПЖ. Кроме того, последние достижения в технологиях детекторов и алгоритмах реконструкции изображений ясно показали, что пространственное разрешение ОФЭКТ приближается к разрешению ПЭТ без сопутствующего снижения чувствительности.
Меченные 99mTc низкомолекулярные ингибиторы ПСМА на основе производных мочевины демонстрируют высокий диагностический потенциал для визуализации первичного или рецидивирующего РПЖ, а также метастазов, особенно при высоких концентрациях ПСА. Однако необходимо проведение более подробных клинических исследований с участием большего числа пациентов, что позволит определить показания к применению ОФЭКТ с меченными 99mTc радиофармацевтическими лекарственными препаратами для максимально эффективной визуализации ПСМА-специфичных опухолевых поражений. Наконец, ПСМА-радионавигационная хирургия с использованием ингибиторов ПСМА, меченных 99mTc, является весьма привлекательной, но недостаточно изученной методикой, позволяющей обнаруживать метастазы в лимфатические узлы с высокой точностью.
Таким образом, вышеизложенные соображения дают основания считать, что роль ПСМА-специфичных радиофармацевтических лекарственных препаратов с 99mTc в ядерной медицине, в частности диагностике РПЖ, будет только возрастать.
Дополнительная информация
Источник финансирования. Исследование выполнено при финансовой поддержке Министерства здравоохранения Российской Федерации в рамках выполнения в ФГБУ «НМИЦ радиологии» Минздрава России государственного задания (2021–2023 гг.) на тему: «Проведение доклинических исследований безопасности и диагностической ОФЭКТ эффективности разработанного РФЛП на основе ПСМА-специфического лиганда, меченного радионуклидом 99мТс».
Конфликт интересов. Авторы данной статьи подтвердили отсутствие конфликта интересов, о котором необходимо сообщить.
Участие авторов. В.К. Тищенко — анализ источников литературы, сбор и обработка материала, подготовка рукописи статьи, оформление материала; В.М. Петриев — анализ источников литературы, сбор и обработка материала, проверка и редактирование научной части текста, написание заключения; О.П. Власова — анализ источников литературы, сбор и обработка материала; А.А. Панкратов — проверка и редактирование научной части текста, написание заключения; Н.Б. Морозова — анализ источников литературы, сбор и обработка материала; П.В. Шегай — концепция написания статьи, внесение замечаний и предложений клинического характера в области онкоурологии, согласование конечного текста; С.А. Иванов — концепция написания статьи, внесение замечаний и предложений клинического характера в области онкоурологии, согласование конечного текста; А.Д. Каприн — концепция написания статьи, внесение замечаний и предложений клинического характера в области онкоурологии, согласование конечного текста. Все авторы внесли значимый вклад в подготовку статьи, прочли и одобрили финальную версию текста перед публикацией.
About the authors
Viktoriia K. Tishchenko
A. Tsyb Medical Radiological Research Centre
Email: vikshir82@mail.ru
ORCID iD: 0000-0001-8983-5976
SPIN-code: 2724-0930
PhD in Biology
Russian Federation, 4, Korolyova str., 249036, Obninsk, Kaluga RegionVasily M. Petriev
A. Tsyb Medical Radiological Research Centre; National Research Nuclear University MEPHI (Moscow Engineering Physics Institute)
Email: petriev@mrrc.obninsk.ru
ORCID iD: 0000-0002-0231-2177
SPIN-code: 3769-6210
PhD in Biology
Russian Federation, 4, Korolyova str., 249036, Obninsk, Kaluga Region; MoscowOksana P. Vlasova
A. Tsyb Medical Radiological Research Centre; National Medical Research Radiological Centre
Author for correspondence.
Email: somina@inbox.ru
ORCID iD: 0000-0001-5170-9595
SPIN-code: 2554-3985
PhD in Biology
Russian Federation, 4, Korolyova str., 249036, Obninsk, Kaluga Region; Obninsk, Kaluga RegionAndrei A. Pankratov
P.A. Hertsen Moscow Oncology Research Institute
Email: andreimnioi@yandex.ru
ORCID iD: 0000-0001-7291-9743
SPIN-code: 5463-3790
PhD in Biology
Russian Federation, MoscowNatalia B. Morozova
P.A. Hertsen Moscow Oncology Research Institute
Email: n.b.morozova@yandex.ru
ORCID iD: 0000-0002-7159-805X
SPIN-code: 1286-6518
PhD in Biology
Russian Federation, MoscowPetr V. Shegai
National Medical Research Radiological Centre
Email: dr.shegai@mail.ru
ORCID iD: 0000-0001-8901-4596
SPIN-code: 6849-3221
MD, PhD
Russian Federation, Obninsk, Kaluga RegionSergei A. Ivanov
A. Tsyb Medical Radiological Research Centre; RUDN University
Email: oncourolog@gmail.com
ORCID iD: 0000-0001-7689-6032
SPIN-code: 4264-5167
MD, PhD, Professor, Corresponding Member of the RAS
Russian Federation, 4, Korolyova str., 249036, Obninsk, Kaluga Region; MoscowAndrei D. Kaprin
National Medical Research Radiological Centre; P.A. Hertsen Moscow Oncology Research Institute; RUDN University
Email: kaprin@mail.ru
ORCID iD: 0000-0001-8784-8415
SPIN-code: 1759-8101
MD, PhD, Professor, Academician of the RAS
Russian Federation, Obninsk, Kaluga Region; Moscow; MoscowReferences
- Global Cancer Observatory. Available from: https://gco.iarc.fr (accessed: 12.04.2022).
- Состояние онкологической помощи населению России в 2020 году / под ред. А.Д. Каприна, В.В. Старинского, А.О. Шахзадовой. — М.: МНИОИ им. П.А. Герцена – филиал ФГБУ «НМИЦ радиологии» Минздрава России, 2021. — 239 с. [Sostoyanie onkologicheskoj pomoshchi naseleniyu Rossii v 2020 godu / pod red. AD Kaprina, VV Starinskogo, AO Shahzadovoj. Moscow: MNIOI im. P.A. Gercena — filial FGBU “NMIC radiologii” Minzdrava Rossii; 2021. 239 s. (In Russ.)]
- Mottet N, van den Bergh RCN, Briers E, et al. EAU-EANM-ESTRO-ESUR-SIOG Guidelines on Prostate Cancer-2020 Update. Part 1: Screening, Diagnosis, and Local Treatment with Curative Intent. Eur Urol. 2021;79(2):243–262. doi: https://doi.org/10.1016/j.eururo.2020.09.042
- Xu X, Zhang J, Hu S, et al. 99mTc-labeling and evaluation of a HYNIC modified small-molecular inhibitor of prostate-specific membrane antigen. Nucl Med Biol. 2017;48:69–75. doi: https://doi.org/10.1016/j.nucmedbio.2017.01.010
- Walker SM, Lim I, Lindenberg L, et al. Positron emission tomography (PET) radiotracers for prostate cancer imaging. Abdom Radiol (NY). 2020;45(7):2165–2175. doi: https://doi.org/10.3390/ijms23095023
- Stott Reynolds TJ, Smith CJ, Lewis MR. Peptide-Based Radiopharmaceuticals for Molecular Imaging of Prostate Cancer. Adv Exp Med Biol. 2018;1096:135–158. doi: https://doi.org/10.1007/978-3-319-99286-0_8
- Kuppermann D, Calais J, Marks LS. Imaging Prostate Cancer: Clinical Utility of Prostate-Specific Membrane Antigen. J Urol. 2022; 207(4):769–778. doi: https://doi.org/10.1097/JU.0000000000002457
- Леонтьев А.В., Халимон А.И., Кулиев М.Т., и др. Современные возможности применения радиофармпрепаратов на основе лигандов к простатспецифическому мембранному антигену, меченных 99mTc, при раке предстательной железы // Онкоурология. — 2021. — Т. 17. — № 4. — С. 136–150. [Leontyev AV, Khalimon AI, Kuliev MT, et al. Modern possibilities of application 99mTc-labeled prostate-specific membrane antigen ligands in prostate cancer. Onkourologiya = Cancer Urology. 2021;17(4):136–150. (In Russ.)] doi: https://doi.org/10.17650/1726-9776-2021-17-4-136-150
- Duatti A. Review on 99mTc radiopharmaceuticals with emphasis on new advancements. Nucl Med Biol. 2021;92:202–216. doi: https://doi.org/10.1016/j.nucmedbio.2020.05.005
- Gourni E, Henriksen G. Metal-Based PSMA Radioligands. Molecules. 2017;22(4):523. doi: https://doi.org/10.3390/molecules22040523
- Brunello S., Salvarese N, Carpanese D, et al. A Review on the Current State and Future Perspectives of [99mTc]Tc-Housed PSMA-i in Prostate Cancer. Molecules. 2022;27(9):2617. doi: https://doi.org/10.3390/molecules27092617
- Czerwińska M, Bilewicz A, Kruszewski M, et al. Targeted Radionuclide Therapy of Prostate Cancer — From Basic Research to Clinical Perspectives. Molecules. 2020;25(7):1743. doi: https://doi.org/10.3390/molecules25071743
- Mattias J, Engelhardt J, Schäfer M, et al. Cytoplasmic Localization of Prostate-Specific Membrane Antigen Inhibitors May Confer Advantages for Targeted Cancer Therapies. Cancer Res. 2021;81(8):2234–2245. doi: https://doi.org/10.1158/0008-5472.CAN-20-1624
- Kopka K, Benešova M, Barinka C, et al. Glu-Ureido-Based Inhibitors of Prostate-Specific Membrane Antigen: Lessons Learned During the Development of a Novel Class of Low-Molecular-Weight Theranostic Radiotracers. J Nucl Med. 2017;58(Suppl 2):17S–26S. doi: https://doi.org/10.2967/jnumed.116.186775
- Марук А.Я., Брускин А.Б., Кодина Г.Е. Новые радиофармпрепараты на основе 99mTc с применением бифункциональных хелатирующих агентов // Радиохимия. — 2011. — Т. 53. — № 4. — С. 289–300. [Maruk AYa, Bruskin AB, Kodina GE. Novel 99mTc radiopharmaceuticals with bifunctional chelating agents. Radiochemistry. 2011;53(4):341–353. (In Russ.)]. doi: https://doi.org/10.1134/S1066362211040011
- Banerjee SR, Foss CA, Castanares M, et al. Synthesis and Evaluation of Technetium-99m- and Rhenium-Labeled Inhibitors of the Prostate-Specific Membrane Antigen (PSMA). J Med Chem. 2008;51(15):4504–4517. doi: https://doi.org/10.1021/jm800111u
- Banerjee SR, Pullambhatla M, Foss CA, et al. Effect of Chelators on the Pharmacokinetics of 99mTc-Labeled Imaging Agents for the Prostate-Specific Membrane Antigen (PSMA). J Med Chem. 2013;56(15):6108–6121. doi: https://doi.org/10.1021/jm400823w
- Lu G, Maresca KP, Hillier SM, et al. Synthesis and SAR of 99mTc/Re-Labeled Small Molecule Prostate Specific Membrane Antigen Inhibitors with Novel Polar Chelates. Bioorg Med Chem Lett. 2013;23(5):1557–1563. doi: https://doi.org/10.1016/j.bmcl.2012.09.014
- Hillier SM, Maresca KP, Lu G, et al. 99mTc-Labeled Small-Molecule Inhibitors of Prostate-Specific Membrane Antigen for Molecular Imaging of Prostate Cancer. J Nucl Med. 2013;54(8):1369–1376. doi: https://doi.org/10.2967/jnumed.112.116624
- Kimura H, Sampei S, Matsuoka D, et al. Development of 99mTc-labeled asymmetric urea derivatives that target prostate-specific membrane antigen for single-photon emission computed tomography imaging. Bioorg Med Chem. 2016;24(10):2251–2256. doi: https://doi.org/10.1016/j.bmc.2016.03.051
- Lodhi NA, Park JY, Kim K, et al. Synthesis and Evaluation of 99mTc-Tricarbonyl Labeled Isonitrile Conjugates for Prostate-Specific Membrane Antigen (PSMA) Image. Inorganics. 2020;8(1):5. doi: https://doi.org/10.3390/inorganics8010005
- Xiao D, Duan X, Gan Q, et al. Preparation and Biological Evaluation of [99mTc]Tc-CNGU as a PSMA-Targeted Radiotracer for the Imaging of Prostate Cancer. Molecules. 2020;25(23):5548. doi: https://doi.org/10.3390/molecules25235548
- Kularatne SA, Zhou Z, Yang J, et al. Design, Synthesis, and Preclinical Evaluation of Prostate-Specific Membrane Antigen Targeted 99mTc-Radioimaging Agents. Mol Pharm. 2009;6(3):790–800. doi: https://doi.org/10.1021/mp9000712
- Robu S, Schottelius M, Eiber M, et al. Preclinical Evaluation and First Patient Application of 99mTc-PSMA-I&S for SPECT Imaging and Radioguided Surgery in Prostate Cancer. J Nucl Med. 2017;58(2):235–242. doi: https://doi.org/10.2967/jnumed.116.178939
- Rauscher I, Duwel C, Wirtz M, et al. Value of 111In-prostate-specific membrane antigen (PSMA)-radioguided surgery for salvage lymphadenectomy in recurrent prostate cancer: Correlation with histopathology and clinical follow-up. BJU Int. 2017;120(1):40–47. doi: https://doi.org/10.1111/bju.13713
- Jilg CA, Reichel K, Stoykow C, et al. Results from extended lymphadenectomies with [111In]PSMA-617 for intraoperative detection of PSMA-PET/CT-positive nodal metastatic prostate cancer. EJNMMI Res. 2020;10(1):17. doi: https://doi.org/10.1186/s13550-020-0598-2
- Ferro-Flores G, Luna-Gutierrez M, Ocampo-Garcia B, et al. Clinical translation of a PSMA inhibitor for 99mTc-based SPECT. Nucl Med Biol. 2017;48:36–44. doi: https://doi.org/10.1016/j.nucmedbio.2017.01.012
- Mosayebnia M, Hajimahdi Z, Beiki D, et al. Design, Synthesis, Radiolabeling and Biological Evaluation of New Urea-Based Peptides Targeting Prostate Specific Membrane Antigen. Bioorg Chem. 2020;99:103743. doi: https://doi.org/10.1016/j.bioorg.2020.103743
- Sikora AE, Maurin M, Jaron AW, et al. PSMA Inhibitor Derivatives for Labelling with 99mTc via HYNIC, a Radiopharmaceutical Kit, Radiopharmaceutical Preparations and Their Use in Prostate Cancer Diagnostics. Bulletin Number EP3721907A1. European Patent; 2020.
- Vats K, Agrawal K, Sharma R, et al. Preparation and clinical translation of 99mTc-PSMA-11 for SPECT imaging of prostate cancer. Medchemcomm. 2019;10(12):2111–2117. doi: https://doi.org/10.1039/c9md00401g
- Vallabhajosula S, Nikolopoulou A, Babich JW, et al. 99mTc-labeled small-molecule inhibitors of prostate-specific membrane antigen: pharmacokinetics and biodistribution studies in healthy subjects and patients with metastatic prostate cancer. J Nucl Med. 2014;55(11):1791–1798. doi: https://doi.org/10.2967/jnumed.114.140426
- Goffin KE, Joniau S, Tenke P, et al. Phase 2 study of 99mTc-Trofolastat SPECT/CT to identify and localize prostate cancer in intermediate- and high-risk patients undergoing radical prostatectomy and extended pelvic LN dissection. J Nucl Med. 2017;58(9):1408– 1413. doi: https://doi.org/10.2967/jnumed.116.187807
- Schmidkonz C, Cordes M, Beck M, et al. SPECT/CT with the PSMA Ligand 99mTc-MIP-1404 for Whole-Body Primary Staging of Patients With Prostate Cancer. Clin Nucl Med. 2018;43(4):225–231. doi: https://doi.org/10.1097/RLU.0000000000001991
- Schmidkonz C, Atzinger A, Goetz TI, et al. 99mTc-MIP-1404 SPECT/CT for Patients with Metastatic Prostate Cancer: Interobserver and Intraobserver Variability in Treatment-Related Longitudinal Tracer Uptake Assessments of Prostate-Specific Membrane Antigen-Positive Lesions. Clin Nucl Med. 2020;45(2):105–112. doi: https://doi.org/10.1097/RLU.0000000000002880
- Schmidkonz C, Hollweg C, Beck M, et al. 99mTc-MIP-1404-SPECT/CT for the Detection of PSMA-Positive Lesions in 225 Patients with Biochemical Recurrence of Prostate Cancer. Prostate. 2018;78(1):54–63. doi: https://doi.org/10.1002/pros.23444
- Reinfelder J, Kuwert T, Beck M, et al. First Experience with SPECT/CT Using a 99mTc-Labeled Inhibitor for Prostate-Specific Membrane Antigen in Patients with Biochemical Recurrence of Prostate Cancer. Clin Nucl Med. 2017;42(1):26–33. doi: https://doi.org/10.1097/RLU.0000000000001433
- Schmidkonz C, Götz TI, Atzinger A, et al. 99mTc-MIP-1404 SPECT/CT for Assessment of Whole-Body Tumor Burden and Treatment Response in Patients with Biochemical Recurrence of Prostate Cancer. Clin Nucl Med. 2020;45(8):e349–e357. doi: https://doi.org/10.1097/RLU.0000000000003102
- Schmidkonz C, Goetz TI, Kuwert T, et al. PSMA SPECT/ CT with 99mTc-MIP-1404 in Biochemical Recurrence of Prostate Cancer: Predictive Factors and Efficacy for the Detection of PSMA-Positive Lesions at Low and Very-Low PSA Levels. Ann Nucl Med. 2019;33(12):891–898. doi: https://doi.org/10.1007/s12149-019-01400-6
- Schmidkonz C, Cordes M, Beck M, et al. Assessment of Treatment Response by 99mTc-MIP-1404 SPECT/CT: A Pilot Study in Patients with Metastatic Prostate Cancer. Clin Nucl Med. 2018;43(8):e250–e258. doi: https://doi.org/10.1097/RLU.0000000000002162
- Ellis WJ, Donnelly BJ, Gorin MA, et al. PD60-11 phase 3 study to evaluate the safety and efficacy of 99mTc-MIP-1404 SPECT/CT imaging to detect clinically significant prostate cancer in men with biopsy proven low grade prostate cancer who are candidates for active surveillance (PROSPECT-AS). J Urol. 2019;201(Suppl4):e1100. doi: https://doi.org/10.1097/01.JU.0000557222.99762.6b
- Maurer T, Robu S, Schottelius M, et al. 99mTechnetium-based Prostate-specific Membrane Antigen-radioguided Surgery in Recurrent Prostate Cancer. Eur Urol. 2019;75(4):659–666. doi: https://doi.org/10.1016/j.eururo.2018.03.013
- Mix M, Schultze-Seemann W, von Büren M, et al. 99mTc-Labelled PSMA Ligand for Radio-Guided Surgery in Nodal Metastatic Prostate Cancer: Proof of Principle. EJNMMI Res. 2021;11(1):22. doi: https://doi.org/10.1186/s13550-021-00762-1
- Horn T, Kronke M, Rauscher I, et al. Single Lesion on Prostate-specific Membrane Antigen-ligand Positron Emission Tomography and Low Prostate-specific Antigen Are Prognostic Factors for a Favorable Biochemical Response to Prostate-specific Membrane Antigen-targeted Radioguided Surgery in Recurrent Prostate Cancer. Eur Urol. 2019;76(4):517–523. doi: https://doi.org/10.1016/j.eururo.2019.03.045
- Werner P, Neumann C, Eiber M, et al. [99cmTc]Tc-PSMA-I&S-SPECT/CT: Experience in prostate cancer imaging in an outpatient center. EJNMMI Res. 2020;10(1):45. doi: https://doi.org/10.1186/s13550-020-00635-z
- Albalooshi B, Al Sharhan M, Bagheri F, et al. Direct Comparison of 99mTc-PSMA SPECT/CT and 68Ga-PSMA PET/CT in Patients with Prostate Cancer. Asia Ocean J Nucl Med Biol. 2020;8(1):1–7. doi: https://doi.org/10.22038/aojnmb.2019.43943.1293
- Urbán S, Meyer C, Dahlbom M, et al. Radiation Dosimetry of 99mTc-PSMA I&S: A Single-Center Prospective Study. J Nucl Med. 2021;62(8):1075–1081. doi: https://doi.org/10.2967/jnumed.120.253476
- Santos-Cuevas C, Davanzo J, Ferro-Flores G, et al. 99mTc-labeled PSMA inhibitor: Biokinetics and radiation dosimetry in healthy subjects and imaging of prostate cancer tumors in patients. Nucl Med Biol. 2017;52:1–6. doi: https://doi.org/10.1016/j.nucmedbio.2017.05.005
- Lawal IO, Ankrah AO, Mokgoro NP, et al. Diagnostic sensitivity of Tc-99m HYNIC PSMA SPECT/CT in prostate carcinoma: a comparative analysis with Ga-68 PSMA PET/CT. Prostate. 2017;77(11):1205–1212. doi: https://doi.org/10.1002/pros.23379
- García-Pérez FO, Davanzo J, López-Buenrostro S, et al. Head to Head Comparison Performance of 99mTc-EDDA/HYNIC-IPSMA SPECT/CT and 68Ga-PSMA-11 PET/CT a Prospective Study in Biochemical Recurrence Prostate Cancer Patients. Am J Nucl Med Mol Imaging. 2018;8(5):332–340.
- Fallahi B, Khademi N, Karamzade-Ziarati N, et al. 99mTc-PSMA SPECT/CT Versus 68Ga-PSMA PET/CT in the Evaluation of Metastatic Prostate Cancer. Clin Nucl Med. 2021;46(2):e68–e74. doi: https://doi.org/10.1097/RLU.0000000000003410
- Kabunda J, Gabela L, Kalinda C, et al. Comparing 99mTc-PSMA to 99mTc-MDP in Prostate Cancer Staging of the Skeletal System. Clin Nucl Med. 2021;46(7):562–568. doi: https://doi.org/10.1097/RLU.0000000000003702
- Vallejo-Armenta P, Soto-Andonaegui J, Villanueva-Pérez RM, et al. [99mTc]Tc-IPSMA SPECT Brain Imaging as a Potential Specific Diagnosis of Metastatic Brain Tumors and High-Grade Gliomas. Nucl Med Biol. 2021;96–97:1–8. doi: https://doi.org/10.1016/j.nucmedbio.2021.02.003
- Liu C, Zhu Y, Su H, et al. Relationship between PSA Kinetics and Tc-99m HYNIC PSMA SPECT/CT Detection Rates of Biochemical Recurrence in Patients with Prostate Cancer after Radical Prostatectomy. Prostate. 2018;78(16):1215–1221. doi: https://doi.org/10.1002/pros.23696
- Su HC, Zhu Y, Ling GW, et al. Evaluation of 99mTc-Labeled PSMA-SPECT/CT Imaging in Prostate Cancer Patients Who Have Undergone Biochemical Relapse. Asian J Androl. 2017;19(3):267–271. doi: https://doi.org/10.4103/1008-682X.192638
- Su H, Zhu Y, Hu S, et al. The Value of 99mTc-PSMA SPECT/CT-Guided Surgery for Identifying and Locating Lymph Node Metastasis in Prostate Cancer Patients. Ann Surg Oncol. 2019;26(2):653–659. doi: https://doi.org/10.1245/s10434-018-6805-y
- Li P, Liu C, Wu S, et al. Combination of 99mTc-Labeled PSMA-SPECT/CT and Diffusion-Weighted MRI in the Prediction of Early Response after Carbon Ion Therapy in Prostate Cancer: A Non-Randomized Prospective Pilot Study. Cancer Manag Res. 2021;13:2191–2199. doi: https://doi.org/10.2147/CMAR.S285167
- Ćwikła JB, Roslan M, Skoneczna I, et al. Initial Experience of Clinical Use of [99mTc]Tc-PSMA-T4 in Patients with Prostate Cancer. A Pilot Study. Pharmaceuticals (Basel). 2021;14(11):1107. doi: https://doi.org/10.3390/ph14111107
- Sergieva S, Mangaldgiev R, Dimcheva M, et al. SPECT-CT Imaging with [99mTc]PSMA-T4 in Patients with Recurrent Prostate Cancer. Nucl Med Rev Cent East Eur. 2021;24(2):70–81. doi: https://doi.org/10.5603/NMR.2021.0018
- Singh B, Sharma S, Bansal P, et al. Comparison of the Diagnostic Utility of 99mTc-PSMA Scintigraphy versus 68Ga-PSMA-11 PET/CT in the Detection of Metastatic Prostate Cancer and Dosimetry Analysis: A Gamma-Camera-Based Alternate Prostate-Specific Membrane Antigen Imaging Modality. Nucl Med Commun. 2021;42(5):482–489. doi: https://doi.org/10.1097/MNM.0000000000001361
Supplementary files



















