A Prospective Multicenter Randomized Study State of Humoral Immunity after a New Coronavirus Infection (COVID-19) of a Mild or Asymptomatic Course
- Authors: Kryukov E.V.1, Trishkin D.V.2, Salukhov V.V.1, Sadovnikov P.S.3, Andreychuk Y.V.3, Chugunov A.A.1, Kotiv B.N.1
-
Affiliations:
- Military Medical Academy named after S.M. Kirov
- The Main Military Medical Directorate
- Laboratory Service “Helix”
- Issue: Vol 76, No 4 (2021)
- Pages: 361-367
- Section: INFECTIOUS DISEASES: CURRENT ISSUES
- Published: 22.10.2021
- URL: https://vestnikramn.spr-journal.ru/jour/article/view/1582
- DOI: https://doi.org/10.15690/vramn1582
- ID: 1582
Cite item
Full Text
Abstract
Background. The rapid spread of COVID-19 in the world, the severity of disease, high morbidity and mortality have rightly made the COVID-19 pandemic a major threat to humanity. Therefore, one of the most urgent problems for practical health care is the issue of development of immunity for COVID-19 survivors, the possibility of re-infection, and the appropriateness of vaccination. The article presents the interim results of the study was named “RESPONSE” devoted to assessing the immunity for 90 days from patients that survived COVID-19 in a mild or asymptomatic course.
Aims — to study of the dynamics of generation of SARS-CoV-2 adhesive (S) protein neutralizing antibodies (IgG) and specificities of humoral immunity from COVID-19 survivors with light and asymptomatic form of disease in depending on gender and age.
Materials and methods. Joint study by the Military Medical Academy n.a. S.M. Kirov and Laboratory Service “Helix” is being undertaken in the period from January 06, 2020 to August 1, 2021 on the basis of Academy clinics and Helix diagnostic centers in Saint Petersburg. The study was included 1109 males and females aged 18 to 70 (average age 38.2), who received to outpatient treatment of light and asymptomatic form of New Coronavirus Infection. All patients included in the investigation were done survey of quantitative neutralizing antibodies of class IgG to S-protein SARS-CoV-2 content in venous blood in 30, 45, 60 and 90 days from the last result of positive polymerase chain reaction with reverse transcription (OT-PCR) for determining nucleic acid SARS-CoV-2 in biological material by immunochemiluminescent analysis (LIAISON XL, DiaSorin S.p.A., made in Italy).
Results. The IgG class antibody to the S-protein SARS-CoV-2 were not diagnosed 30 days after the survived infection only 0.9% of young women (18–44 years) and 0.8% of men in the same age bracket. In other age groups, antibodies were defined in all participants of study. Titer of IgG gradually increases to peak concentration after 45 days, it’s kept at this level to the 60th day, and then it has a decreasing trend after 90 days from the onset of the disease.
Conclusions. The results show the timing of generation and duration of the humoral response in survived patients COVID-19 in a mild or asymptomatic form. For 45 days, antibodies were determined in all participants of the study, reflecting the development of post-infectious humoral immunity, which was maintained in patients with the mild or asymptomatic forms of COVID-19 at least 3 months.
Keywords
Full Text
Обоснование
Новая коронавирусная инфекция — COVID-19 (COronaVIrus Disease – 2019) — стремительно распространилась по всему миру после своего дебюта в середине декабря 2019 г. в китайском городе Ухань, провинция Хубэй [1]. Китай стал эпицентром пандемии, вызванной новым коронавирусом, названным Международным комитетом по таксономии вирусов SARS-CoV-2 (severe acute respiratory syndrome-related coronavirus 2), который является антропозоонозом II группы патогенности [2]. Важными особенностями инфекции, определившими в том числе быстрое распространение заболевания, являются возможность заражения от больного человека, находящегося в инкубационном периоде (от 2 до 14 сут), и значительное количество лиц, переносящих болезнь в легкой/ бессимптомной форме [1, 3, 4].
Тяжесть и прогноз у пациентов с COVID-19 в основном определяются развитием гипервоспалительной реакции (гипотеза «цитокинового шторма») [5], которая не только приводит к формированию острого респираторного дистресс-синдрома (ОРДС), но и одновременно с этим повышает риск жизнеопасных коагулопатий [6].
Жертвами пандемии COVID-19 стало огромное количество людей во всем мире. «Золотой стандарт» диагностики — обнаружение нуклеиновой кислоты SARS-CoV-2 с помощью полимеразной цепной реакции с обратной транскрипцией (ОТ-ПЦР) — часто не дает 100% точного диагноза. В некоторой степени обнаружение антител, специфичных для SARS-CoV-2, может восполнить недостаток методики ОТ-ПЦР. Исследования показали, что в случаях подозрения на COVID-19 с отрицательной нуклеиновой кислотой специфические антитела являются эффективным дополнительным индикатором инфекции SARS-CoV-2 и могут быть объединены с ОТ-ПЦР для подтверждения инфекции. J. Xie et al. (2020) также считают, что комбинация ОТ-ПЦР и теста на антитела IgM-IgG является оптимальным методом диагностики инфекции SARS-CoV-2 [7, 8]. Связано это с тем, что при COVID-19 порядок появления антител IgM и IgG имеет отличительную особенность — IgM и IgG могут синтезироваться почти одновременно. Как правило, при заболевании антитела вырабатываются как к нуклеокапсидному (N), так и к гликопротеиновому спайковому (S) белку SARS-CoV-2. Наличие антител против N-белка может указывать на предшествующий контакт с SARS-CoV-2 или родственными вирусами, но не обязательно свидетельствует о наличии нейтрализующих антител. Серологическое тестирование на основе только N-белка для определения потенциального иммунитета против COVID-19 сомнительно [9]. Поэтому для оценки гуморального иммунитета используются методы по определению титра вируснейтрализующих антител (IgG) к S-белку SARS-CoV-2. Выявление IgМ к S-белку подтверждает наличие иммунного ответа к COVID-19 после контакта с вирусом.
Количественное обнаружение IgG к S-белку (вируснейтрализующие антитела) позволяет судить о наличии иммунитета, который может сформироваться как после перенесенного заболевания, так и после вакцинации. Сведения о защитном титре антител и о том, как долго он сохраняется, в настоящее время отсутствуют [4, 10]. Проведенные ранее исследования родственных коронавирусов MERS-CoV и SARS-CoV-1, а также сезонных коронавирусов демонстрируют, что после инфекции SARS-CoV-1 концентрация IgG оставалась высокой на протяжении 4–5 мес, а затем в течение 2–3 лет постепенно снижалась, при этом до 90% переболевших сохраняли вируснейтрализующие антитела через 2,5 года. Аналогичным путем развивался иммунный ответ при MERS-CoV-инфекции с сохранением антител у выздоровевших до 34 мес [11, 12].
Время нарастания уровней специфических IgM и IgG в крови у обследуемых лиц различается, и комбинированное обнаружение может быть более полезным для диагностики COVID-19 [10]. Масштабные популяционные исследования в условиях пандемии позволяют определить различные закономерности в выработке иммунного ответа на новую коронавирусную инфекцию, способствуют раннему выявлению и улучшению оказания помощи таким пациентам. Некоторые страны Евросоюза также запустили программы массового скрининга IgG к SARS-CoV-2 в популяции с целью оценки гуморального иммунитета у населения и выявления количества переболевших лиц. Массовая оценка гуморального иммунитета является необходимой частью стратегии дальнейшей борьбы с пандемией COVID-19 [13].
Следует отметить и то, что на настоящий момент отсутствуют высокоэффективные этиотропные препараты для лечения COVID-19, которые бы влияли на общую смертность и наступление потребности в вентиляции легких. Эффективность в терапии тяжелой и критической формы новой коронавирусной инфекции доказали только системные глюкокортикостероиды, что, очевидно, недостаточно в борьбе с пандемией COVID-19 [14, 15]. Поэтому, помимо разработки перспективных методов лечения пациентов с использованием передовых лекарственных препаратов, следующим шагом в борьбе с пандемией является масштабная вакцинация населения. Вместе с тем проведение вакцинации в условиях неопределенности в отношении состояния иммунитета у лиц, перенесших COVID-19, в том числе у лиц, перенесших заболевание в бессимптомной форме, мало изучено, а значит, чревато непредсказуемыми реакциями и осложнениями. Данные европейских исследователей показывают, что, несмотря на обширный скрининг с помощью ОТ-ПЦР-теста, в значительной части случаев инфекция не была обнаружена, что, возможно, обусловлено малосимптомным и легким течением COVID-19 [16].
Таким образом, в каждой популяции имеется доля лиц, перенесших COVID-19 в инаппарантной форме. Однако зарубежные и отечественные исследования по изучению иммунитета против COVID-19 в основном проводятся среди лиц, получающих стационарное лечение и перенесших среднетяжелые и тяжелые формы заболевания [17, 18].
Следует заключить, что исчерпывающей информации о состоянии гуморального иммунитета у лиц, перенесших легкие формы COVID-19 в Российской Федерации, недостаточно. Настоящее исследование, посвященное изучению особенностей гуморального иммунитета у лиц, перенесших COVID-19 в легкой или бессимптомной форме, является одним из первых в России.
Цель исследования — изучить динамику формирования нейтрализующих антител к S-белку SARS-CoV-2 и особенности гуморального иммунитета у лиц, перенесших COVID-19 в легкой или бессимптомной форме.
Методы
Дизайн исследования
Проведено проспективное когортное нерандомизированное исследование.
Объект исследования — пациенты, перенесшие новую коронавирусную инфекцию легкого или бессимптомного течения, подтвержденную положительным результатом ОТ-ПЦР-теста. С целью набора амбулаторных пациентов в исследование был создан специальный сайт лабораторной службы «Хеликс» (https://otklik.helix.ru), на котором любой желающий мог подать заявку на участие в исследовании в электронном виде. Для автоматизированной обработки заявок на сайте был реализован алгоритм оценки соответствия потенциальных участников критериям включения. Первичным критерием отбора являлось наличие у респондента положительного результата ПЦР-исследования мазка из верхних дыхательных путей на SARS-COV-2, выполненного в лабораторной службе «Хеликс». Для этой цели потенциальному участнику предлагалось ввести уникальный номер заказа, который автоматически сверялся с базой данных положительных результатов ПЦР-исследований на SARS-COV-2, осуществленных в «Хеликс». При подтверждении наличия у потенциального участника результата ПЦР-исследования, соответствующего критериям включения, он сразу же допускался к прохождению анкетирования в электронном виде. Результаты анкетирования при помощи алгоритма автоматически оценивались на предмет соответствия критериям включения в исследование. При соответствии критериям анкета и контактные данные участника автоматически пересылались ответственному врачу-исследователю «Хеликса», который связывался с ним по телефону для валидации предоставленных данных, подробного разъяснения сути проводимого исследования и условий включения в него. При получении подтверждения участия в исследовании врач-исследователь делал соответствующую отметку в базе данных, запуская процесс периодической автоматизированной рассылки участнику по электронной почте и в SMS подробных инструкций о дальнейших действиях. Рассылка по электронной почте включала срок явки и перечень диагностических центров, куда может обратиться участник для сдачи крови на исследование антител, а информационное SMS содержало номер предварительного заказа на исследование, сообщение которого администратору максимально сокращало время оформления документов, автоматизировало выбор необходимого исследования для сдачи и предоставляло участнику право бесплатной сдачи анализа в диагностическом центре «Хеликс». Рассылка осуществлялась автоматически, исходя из сроков сдачи биоматериала, индивидуально рассчитанных для каждого из участников в соответствии с принятыми в исследовании контрольными точками.
Критерии соответствия
Критерии включения в исследование пациентов:
- мужчины и женщины, перенесшие COVID-19, подтвержденную положительным результатом ОТ-ПЦР-теста;
- дата сдачи анализа на COVID-19 более 10 дней от момента клинического выздоровления участников исследования и подачи заявки на участие с получением результата в лабораторной службе «Хеликс»;
- возраст участников исследования в пределах от 18 до 70 лет включительно;
- отсутствие беременности и периода лактации;
- отсутствие аутоиммунных (ревматологических), онкологических заболеваний в анамнезе;
- желание участвовать в исследовании, которое подтверждалось подписанным согласием.
Условия проведения
Лабораторные исследования проводились лицам из 22 населенных пунктов на базе трех лабораторных комплексов компании «Хеликс», расположенных в Санкт-Петербурге, Москве и Екатеринбурге.
Продолжительность исследования
Совместное научное исследование проводилось в период с 01.06.2020 по 01.08.2021.
Исходы исследования
Основной исход исследования: выявлены специфические титры антител класса IgG к S1/S2 вируса SARS-CoV-2 в человеческой сыворотке в количественном значении. Определена динамика сохранения титра антител.
Анализ в подгруппах
Включенные в исследование пациенты были разделены на две группы по полу. Также осуществлена стратификация на следующие возрастные подгруппы согласно классификации Всемирной организации здравоохранения (ВОЗ): 18–44 года (молодые люди) — группа 1 (799 участников, 71,93%); 45–59 лет (люди среднего возраста) — группа 2 (263 участника, 24,29%); 60–70 лет (люди пожилого возраста) — группа 3 (47 участников, 3,78%) [19].
Описание медицинского вмешательства
Всем пациентам в каждой из точек исследования выполнялось количественное определение специфических антител класса IgG к S1/S2 вируса SARS-CoV-2 в 5 мл человеческой сыворотки или плазме методом хемилюминесцентного иммуноанализа (CLIA) с помощью иммунохимического автоматического анализатора LIASON XL (DiaSorin, Italy). Реагенты: LIAISON® SARS-CoV-2 S1/ S2 IgG. Полученные результаты выражались в принятых для обозначения для данного анализатора и тест-системы условных единицах — ОЕ/мл (относительная единица на миллилитр). Мерой количественной величины, определяющей интенсивность гуморального ответа на S-белок, являлись значения IgG к S1/ S2 в соответствующих референсных пределах для данной аппаратуры: 0,0–12,0 ОЕ/мл — отрицательный (отсутствие антител и, как следствие, гуморального иммунитета); 12,0–15,0 ОЕ/мл — сомнительный; свыше 15 ОЕ/мл —положительный.
Этическая экспертиза
Все процедуры с участием человека, запланированные в клиническом исследовании, были рассмотрены и утверждены этическим комитетом Военно-медицинской академии им. С.М. Кирова (протокол от 27 апреля 2021 г. № 249).
Статистический анализ
Принципы расчета размера выборки. Размер выборки предварительно не рассчитывался.
Методы статистического анализа данных. Статистическая обработка данных выполнялась в программе Statistica 12 (StatSoft, Inc.). Поскольку все показатели в исследуемых группах имели распределение, отличное от нормального для исследования влияния пола и возраста на содержание в крови специфических IgG, использовался двухфакторный дисперсионный анализ на рангах — rank ANOVA (данные ранжируются, а затем проводится обычный ANOVA). Количественные переменные представлены в виде медианы и 25% и 75% квартилей (Me (Q25%; Q75%)), качественные — в абсолютных числах и процентах. Значимыми считали различия с значениями р < 0,05.
Результаты
Объекты (участники) исследования
Промежуточные результаты исследования включают анализ данных, касающихся 1109 лиц мужского и женского пола в возрасте от 18 до 70 лет (средний возраст 38,2 года), получивших амбулаторное лечение по поводу легкой или бессимптомной формы заболевания. Исходные характеристики пациентов, а также данные ANOVA — анализа пациентов, включенных в исследование, отражены в табл. 1. Как видно из данных, представленных в табл. 1, группы были однородны по полу и возрасту, статистически значимо не различались. Наибольшее количество пациентов было в возрастной группе молодых, а общее количество пациентов позволяет использовать необходимые статистические методы.
Таблица 1. Результаты ANOVA — содержания титра нейтрализующих антител в крови у пациентов, включенных в исследование, в зависимости от пола и возраста
Table 1. ANOVA results - content of neutralizing antibody titer in blood in patients included in the study, depending on gender and age
Группа | Женщины | Мужчины | ANOVA-анализ | |||||
P1 | P2 | |||||||
Возраст, лет | 18–44 | 45–59 | 60–70 | 18–44 | 45–59 | 60–70 | ||
Подгруппы | 1 (Ж1) | 2 (Ж2) | 3 (Ж3) | 1 (М1) | 2 (М2) | 3 (М3) | ||
Общее количество участников, абс. (%) | 494 (72,12) | 169 (23,16) | 31 (4,53) | 305 (71,93) | 103 (24,29) | 16 (3,77) | ||
Сывороточная концентрация IgG, Ме (Q25%; Q75%): • 30 сут | 36,4 (13,7;58,8) | 42,65 (24,4;70,3) | 63,5 (24,6;95,4) | 46,8 (22,8;71,6) | 42,1 (19,6;70,0) | 63,8 (16,3;134,7) | 0,660 | 0,173 |
• 45 сут | 38,6 (18,7;64,8) | 36,8 (21,2;74,3) | 58,4 (47,3;87,6) | 43,6 (22,3;73,95) | 46 (19,5;71,1) | 65,7 (38,8;72,1) | 0,647 | 0,02 |
• 60 сут | 38,7 (18,4; 67,4) | 44,9 (22,8;74,5) | 63,3 (29,2;113) | 43,2 (19,6;72,8) | 41,8 (18,3;74,1) | 68,4 (56,3;120) | 0,450 | 0,003 |
• 90 сут | 33,6 (15,5; 56,7) | 45,5 (18,8;73,2) | 62,4 (14,2;109,7) | 34,9 (17;67,3) | 42,3 (18,5;69) | 72,8 (40,9; 89,7) | 0,011 | 0,003 |
Доля лиц без антител 30 сут, абс. (%) | 4 (0,9) | 0 (0,0) | 0 (0,0) | 2 (0,8) | 0 (0,0) | 0 (0,0) | – | |
Итого участников по полу, абс. | 685 | 424 | 0,79 | |||||
Всего, абс. | 1109 | |||||||
Основные результаты исследования
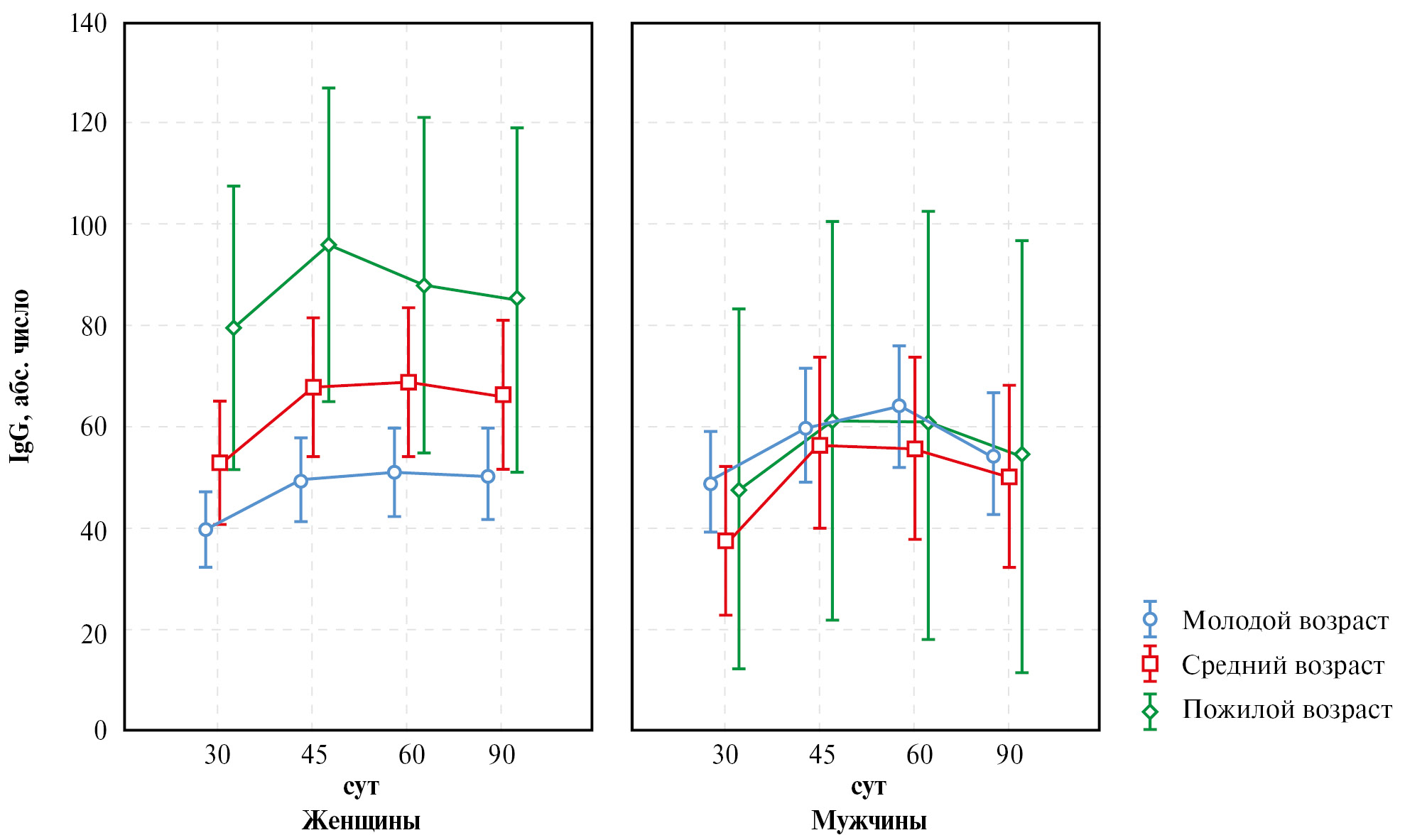
Данные через 30 сут после последнего положительного ПЦР-теста. По данным проведенного анализа АNOVA rank, в первой точке исследования (30 сут) влияние всех факторов было незначимым (р = 0,66 для пола, р = 0,17 для возрастных групп, р = 0,076 для взаимодействия пола и возраста). Это говорит об отсутствии влияния гендерного фактора и возраста на титр антител в ранний срок после перенесенной инфекции. Стоит также отметить, что выявлялись лица, не имеющие нейтрализующих антител на 30-е сут исследования. Это совпадает с результатами проведенных исследований в других странах, где также отмечено более позднее повышение антител против SARS-CoV-2 [19].
Данные через 45 сут после последнего положительного ПЦР-теста. Данные анализа показали, что модель ANOVA rank была значима во второй точке исследования — 45 сут (р < 0,0001), при этом влияние пола в модели было несущественно (р = 0,647), а влияние возраста и их взаимодействия (р = 0,20 и р = 0,055) — статистически значимым (рис. 1). Анализируя рис. 1, следует отметить (в отличие от мужчин) тенденцию у лиц женского пола к увеличению титра антител во 2-й и 3-й подгруппах. Стоит подчеркнуть, что в этот период у 100% лиц, участвовавших в исследовании, состоялась выработка нейтрализующих антител.
Данные через 60 сут после последнего положительного ПЦР-теста. В 3-й точке исследования модель ANOVA была значимой (р = 0,003), влияние пола и влияние взаимодействия не показали статистически значимых различий (р = 0,45 и р = 0,51 соответственно), при этом сохранялось статически значимое воздействие возраста на титр IgG (р = 0,003).
Данные через 90 сут после последнего положительного ПЦР-теста. Через 90 сут исследования модель ANOVA rank была значима (р = 0,002), в целом в данной точке сохранялись предшествующие тенденции: влияние пола и влияние взаимодействия оставались несущественными (р = 0,11 и р = 0,09 соответственно), а возраст являлся статистически значимым действующим фактором — (р = 0,003).
Резюмируя вышесказанное, можно следующим образом представить итоговые графики влияния пола и возраста на титр IgG против SARS-CoV-2 (см. рис 1).
Нежелательные явления
Нежелательных явлений не отмечалось.
Обсуждение
Резюме основного результата исследования
В нашем исследовании впервые продемонстрированы тренды выработки антител среди мужчин и женщин в разных возрастных группах. При их анализе можно заключить, что начиная с 45-х сут и до 90-х сут старший возраст и женский пол ассоциированы с более высоким титром IgG после COVID-19 легкого или бессимптомного течения.
Обсуждение основного результата исследования
По данным промежуточных результатов исследования, включающим оценку динамики IgG у лиц с легким или бессимптомным течением COVID-19 за первые 90 сут наблюдения, можно сделать следующие выводы.
Через 30 сут после перенесенной инфекции в легкой форме антитела класса IgG к S-белку возбудителя SARS-CoV-2 не определялись лишь у 0,9% женщин молодого возраста и 0,8% мужчин той же возрастной категории. В других возрастных группах антитела определялись у всех участников исследования.
Рис. 1. Динамика выработки антител в зависимости от возраста и пола
Fig. 1. Dynamics of antibody production depending on age and gender
Титр антител постепенно нарастает до наибольшего значения через 45 сут с сохранением этого уровня к 60 сут и последующей тенденцией к снижению к 90 сут от начала заболевания.
На 45-е сут антитела определяются у всех участников исследования, что свидетельствует об обязательном формировании гуморального иммунитета у пациентов, перенесших COVID-19 в легкой и бессимптомной форме.
Сывороточные или плазменные IgG-антитела против SARS-CoV-2 сохраняются в течение как минимум 90 сут после перенесенной инфекции в легкой или бессимптомной форме.
Анализируя полученные результаты, необходимо учесть, что выбранная когорта лиц характеризовалась наиболее благополучным исходом среди пациентов, перенесших COVID-19, что может свидетельствовать о состоятельности основных механизмов их Т-клеточного и В-клеточного иммунитета. По-видимому, именно поэтому при адекватном адаптивном иммунитете старшая возрастная группа отличалась более высокими концентрациями антител, поскольку их иммунная система имела большее количество предъявлений различных антигенов в течение жизни и более выраженно реагирует на новую коронавирусную инфекцию, чем лица более молодого возраста [20].
Не менее важными являются факт влияния пола на динамику IgG к S-белку возбудителя SARS-CoV-2 и продолжительность их сохранения после перенесенной инфекции. Ранее состоявшиеся исследования продемонстрировали, что у женщин развивается более быстрый и выраженный гуморальный ответ на инфекции и вакцинации, обусловленный уровнем половых гормонов [21, 22]. Экспериментальные исследования на мышах показали, что эстрогены стимулируют, а тестостерон может подавлять выработку антител, в клинических исследованиях описана более низкая продукция IgG при вакцинации против гриппа у мужчин, особенно у мужчин с высоким уровнем тестостерона во время иммунизации [21, 23, 24]. Результаты этих исследований демонстрируют важную роль половых гормонов в формированиии иммунного ответа на патоген. Эти данные и полученные результаты нашего исследования убедительно свидетельствуют о том, что женщины обладают преимуществом в формировании более быстрого и мощного гуморального иммунитета в отношении SARS-CoV-2, что может привести к клинической пользе для женщин в отношении течения и исходов заболевания. Несмотря на непродолжительный — 90-дневный — период наблюдения в нашем исследовании, по имеющемуся тренду можно предположить более быстрое снижение титра антител у мужчин по сравнению с женщинами, что соотносится с непродолжительной персистенцией антител у мужчин в отношении SARS-CoV-2 [25]. Этот феномен следует учитывать при планировании клинических исследований, направленных на изучение вмешательств, усиливающих противовирусные механизмы, блокирующих гипервоспалительную реакцию, а также при изучении постинфекционного иммунитета, способов его активации и продления.
Ограничения исследования
Ограничениями исследования являются непродолжительный период наблюдения, составляющий 90 сут, отсутствие типирования штаммов/версий SARS-CoV-2, а также отсутствие в исследовании пациентов со среднетяжелым и тяжелым течением COVID-19, что не позволяет связать выраженность иммунного ответа и его продолжительность с тяжестью перенесенной инфекции. Данные ограничения будут реализованы в следующих этапах исследования.
Заключение
Данные проведенного исследования характеризуют сроки формирования и продолжительность сохранения IgG к SARS-CoV-2 у пациентов, перенесших COVID-19 в легкой или бессимптомной форме. На 45-е сут антитела определялись у всех участников исследования, что свидетельствует о формировании постинфекционного гуморального иммунитета, который при легком или бессимптомном течении COVID-19 сохранялся у пациентов в течение как минимум 3 мес, при этом с 45-х и до 90-х сут старший возраст и женский пол ассоциированы с более высоким титром IgG.
Таким образом, возраст и пол являются факторами, влияющими на гуморальный иммунный ответ к SARS-CoV-2.
Дополнительная информация
Источник финансирования. Исследование и публикация статьи осуществлены за счет бюджетных средств организаций.
Конфликт интересов. Авторы данной статьи подтвердили отсутствие конфликта интересов, о котором необходимо
сообщить.
Участие авторов. Д.В. Тришкин — концепция и дизайн статьи, анализ литературы, написание текста, редакционная правка; Е.В. Крюков — концепция и дизайн статьи, анализ литературы, написание текста, редакционная правка; В.В. Салухов — концепция и дизайн исследования, концепция и дизайн статьи, анализ литературы, написание текста, редакционная правка; А.А. Андрейчук — концепция и дизайн исследования, концепция и дизайн статьи, анализ литературы, написание текста, редакционная правка; Б.Н. Котив — анализ литературы, написание текста; Д.В. Овчинников — анализ литературы, написание текста; Ю.В. Рудаков — анализ литературы, написание текста; П.С. Садовников — анализ литературы, написание текста; М.А. Харитонов — анализ литературы, написание текста; А.А. Чугунов — анализ литературы, написание текста, подготовка рисунков; Д.Г. Денисов — анализ литературы, написание текста, подготовка рисунков. Все авторы подтверждают, что они соответствуют критериям авторства ICMJE.
About the authors
Evgeniy V. Kryukov
Military Medical Academy named after S.M. Kirov
Email: evgeniy.md@mail.ru
ORCID iD: 0000-0002-8396-1936
SPIN-code: 3900-3441
MD, PhD, Professor, Corresponding Member of the RAS
Russian Federation, 6, Akademika Lebedeva str., 194044, St. PetersburgDmitriy V. Trishkin
The Main Military Medical Directorate
Email: vmeda-nio@mil.ru
SPIN-code: 1082-0719
MD, PhD
Russian Federation, MoscowVladimir V. Salukhov
Military Medical Academy named after S.M. Kirov
Author for correspondence.
Email: vlasaluk@yandex.ru
ORCID iD: 0000-0003-1851-0941
SPIN-code: 4531-6011
MD, PhD
Russian Federation, 6, Akademika Lebedeva str., 194044, St. PetersburgPavel S. Sadovnikov
Laboratory Service “Helix”
Email: sadovnikov.p@helix.ru
ORCID iD: 0000-0002-6022-5709
SPIN-code: 1542-2836
Russian Federation, St. Petersburg
Yuriy V. Andreychuk
Laboratory Service “Helix”
Email: andreychuk.y@helix.ru
ORCID iD: 0000-0003-2016-8815
Russian Federation, St. Petersburg
Alexander A. Chugunov
Military Medical Academy named after S.M. Kirov
Email: alexandrchugun@yandex.ru
ORCID iD: 0000-0002-2532-6133
SPIN-code: 3839-7619
Adjunct
Russian Federation, 6, Akademika Lebedeva str., 194044, St. PetersburgBogdan N. Kotiv
Military Medical Academy named after S.M. Kirov
Email: kotivbn@gmail.com
ORCID iD: 0000-0001-7537-1218
SPIN-code: 4038-0855
MD, PhD, Professor
Russian Federation, 6, Akademika Lebedeva str., 194044, St. PetersburgReferences
- WHO Director-General’s opening remarks at the media briefing on COVID-19 — 11 March 2020. Available from: https://www.who.int/dg/speeches/detail/who-director-general-s-opening-remarks-at-the-media-briefing-on-covid-19---11-march-2020 (accessed: 10.07.2020).
- Zhou P, Yang XL, Wang XG, et al. A pneumonia outbreak associated with a new coronavirus of probable bat origin. Nature. 2020;579:270–273. doi: https://doi.org/10.1038/s41586-020-2012-7
- Kang HYJ, Wang YS, Tong ZH. Personal knowledge on novel coronavirus pneumonia. Chin Med J (Engl). 2020;(133):1121–1122. doi: https://doi.org/10.1097/cm9.0000000000000757
- Coronavirus Disease (COVID-19) Situation Reports. Available from: https://www.who.int/emergencies/diseases/novel-coronavirus-2019/situation-reports (accessed: 10.07.2020).
- Sfera A, Osorio C, Jafri N, et al. Intoxication with Endogenous Angiotensin II: A COVID-19 Hypothesis. Front Immunol. 2020;11:1472. doi: https://doi.org/10.3389/fimmu.2020.01472
- Салухов В.В., Гуляев Н.И., Дорохина Е.В. Оценка системных воспалительных реакций и коагулопатии на фоне гормональной терапии при ковид-ассоциированном поражении легких // Медицинский совет. — 2020. — № 21. — С. 230–237. [Salukhov VV, Gulyaev NI, Dorokhina EV. Assessment of systemic inflammatory reactions and coagulopathy against the background of hormonal therapy in covid-associated lung damage. Meditsinskiy sovet = Medical Council. 2020;(21):230–237. (In Russ.)] doi: https://doi.org/10.21518/2079-701X-2020-21-230-237
- Yong G, Yi Y, Tuantuan L, et al. Evaluation of the auxiliary diagnostic value of antibody assays for the detection of novel coronavirus (SARS-CoV-2). J Med Virol. 2020;92(10):1975–1979. doi: https://doi.org/10.1002/jmv.25919
- Xie J, Ding C, Li J, et al. Characteristics of patients with coronavirus disease (COVID-19) confirmed using an IgM-IgG antibody test. J Med Virol. 2020;92(10):2004–2010. doi: https://doi.org/10.1002/jmv.25930
- McAndrews KM, Dowlatshahi DP, Dai J, et al. Heterogeneous antibodies against SARS-CoV-2 spike receptor binding domain and nucleocapsid with implications for COVID-19 immunity. JCI Insight. 2020;5 (18):e142386. doi: https://doi.org/10.1172/jci.insight.142386
- Zhao J, Yuan Q, Wang H, et al. Antibody Responses to SARS-CoV-2 in Patients With Novel Coronavirus Disease 2019. Clin Infect Dis. 2020;71(16):2027–2034. doi: https://doi.org/10.1101/2020.09.06.20189480
- Kellam P, Barclay W. The dynamics of humoral immune responses following SARS-CoV-2 infection and the potential for reinfection. J Gen Virol. 2020;101(8):791–797. doi: https://doi.org/10.1099/jgv.0.001439
- Kirkcaldy RD, King BA, Brooks JT. COVID-19 and Postinfection Immunity: Limited Evidence, Many Remaining Questions. JAMA. 2020;323(22):2245–2246. doi: https://doi.org/10.1001/jama.2020.7869
- Салухов В.В., Харитонов М.А., Крюков Е.В., и др. Актуальные вопросы диагностики, обследования и лечения больных с COVID-19-ассоциированной пневмонией в различных странах и континентах // Медицинский совет. — 2020. — № 21. — С. 96–102. [Salukhov VV, Kharitonov MA, Kryukov EV, et al. Topical issues of diagnostics, examination and treatment of patients with COVID-19-associated pneumonia in different countries and continents. Meditsinskiy sovet = Medical Council. 2020;(21):96–102. (In Russ.)] doi: https://doi.org/10.21518/2079-701X-2020-21-96-102
- Зайцев А.А., Голухова Е.З., Мамалыга М.Л., и др. Эффективность пульс-терапии метилпреднизолоном у пациентов с СOVID-19 // Клиническая микробиология и антимикробная химиотерапия. — 2020. — Т. 22. — № 2. — С. 88–89. [Zaitsev AA, Golukhova EZ, Mamalyga ML, et al. Efficacy of methylprednisolone pulse therapy in patients with COVID-19. Clinical Microbiology and Antimicrobial Chemotherapy. 2020;22(2):88–89. (In Russ.)]
- Чугунов А.А., Салухов В.В., Данцева О.В., и др. Некоторые аспекты применения глюкокортикоидных препаратов в комплексном лечении новой коронавирусной инфекции // Медицинский альянс. — 2021. — Т. 9. — № 1. — С. 43–51. [Chugunov АA, Salukhov VV, Dantseva ОV, Kharitonov МA, et al. Some aspects of application glucocorticoid drugs in the complex treatment of new coronaviral infection. Medical Alliance. 2021;9(1):43–51. (In Russ.)] doi: https://doi.org/10.36422/23076348-2021-9-1-43-51
- Gudbjartsson DF, Norddahl GL, Melsted P, et al. Humoral Immune Response to SARS-CoV-2 in Iceland. N Engl J Med. 2020;383(18):1724–1734. doi: https://doi.org/10.1056/nejmoa2006100
- Robbiani DF, Gaebler C, Muecksch F, et al. Convergent antibody responses to SARS-CoV-2 in convalescent individuals. Nature. 2020;584(7821):437–442. doi: https://doi.org/10.1038/s41586-020-2456-9
- Lau CS, Oh HML, Hoo SP, et al. Performance of an automated chemiluminescence SARS-CoV-2 IG-G assay. Clin Chim Acta. 2020;510:760–766. doi: https://doi.org/10.1016/j.cca.2020.09.005
- World report on ageing and health. World Health Organization, Geneva, Switzerland;2015. 246 p. Available from: https://apps.who.int/iris/handle/10665/186463
- Bag Soytas R, Cengiz M, Islamoglu MS, et al. Does the COVID-19 seroconversion in older adults resemble the young? J Med Virol. 2021;93(10):5777–5782. doi: https://doi.org/10.1002/jmv.27106
- Flanagan KL, Fink AL, Plebanski M, Klein SL. Sex and gender differences in the outcomes of vaccination over the life course. Annu Rev Cell Dev Biol. 2017;33:577–599. doi: https://doi.org/10.1146/annurev-cellbio-100616-060718
- Klein SL, Flanagan KL. Sex differences in immune responses. Nat Rev Immunol. 2016;16(10):626–638. doi: https://doi.org/10.1038/nri.2016.90
- Fink AL, Engle K, Ursin RL, et al. Biological sex affects vaccine efficacy and protection against influenza in mice. Proc Natl Acad Sci USA. 2018;115(49):12477–12482. doi: https://doi.org/10.1073/pnas.1805268115
- Furman D, Hejblum BP, Simon N, et al. Systems analysis of sex differences reveals an immunosuppressive role for testosterone in the response to influenza vaccination. Proc Natl Acad Sci USA. 2014;111(2):869–874. doi: https://doi.org/10.1073/pnas.1321060111
- Cao WC, Liu W, Zhang PH, et al. Disappearance of antibodies to SARS-associated coronavirus after recovery. N Engl J Med. 2007;357(11):1162–1163. doi: https://doi.org/10.1056/NEJMc070348
Supplementary files





