Patterns of esophageal acidification and impairment of esophageal motility in gastroesophageal reflux disease and Barrett’s esophagus
- Authors: Maev I.V.1, Barkalova E.V.1, Kucheryavyy Y.A.1, Ovsepyan M.A.1, Andreev D.N.1, Movtaeva P.R.1, Shaburov R.I.1
-
Affiliations:
- A.I. Yevdokimov Moscow State University of Medicine and Dentistry
- Issue: Vol 75, No 2 (2020)
- Pages: 96-105
- Section: INTERNAL DISEASES: CURRENT ISSUES
- Published: 18.06.2020
- URL: https://vestnikramn.spr-journal.ru/jour/article/view/1211
- DOI: https://doi.org/10.15690/vramn1211
- ID: 1211
Cite item
Full Text
Abstract
Background. Gastroesophageal reflux disease (GERD) has a high prevalence worldwide and plays a major role in the development of Barrett’s esophagus (BЕ) and, as a consequence, esophageal adenocarcinoma.
Aims: to evaluate the patterns of esophageal acidification and esophageal motility in patients with BЕ in comparison with various GERD phenotypes and control subjects.
Methods. 100 patients were examined: 31 patients with nonerosive reflux disease (NERD), 20 patients with erosive reflux disease (ERD), 17 patients with BE, 32 healthy individuals who made up the control group. All patients underwent 24-hours pH-impedance and high-resolution esophageal manometry.
Results. According to the 24-hour pH-impedanсe, the total time with pH < 4 in the esophagus was 1.9% (95% CI: 1.1−2.7) in control patients, 11.6% (95% CI: 8.76–13.4) in the NERD group, 19.35 (95% CI: 12.70−26.05) in the ERD group and 28% (95% CI: 10.04–40.96) in patients with BE (p < 0.05). The average number of acid refluxes was 18.0 (95% CI: 10.99−23.0) in the control group, 58.0 (95% CI: 42.34−71.0) in the group with NERD, 78.5 (95% CI: 65.34−103.93) in the group with ERD and 89.0 in patients with BE (95% CI: 67.03−118.72). Significant differences in the listed indicators were noted when comparing patients with BE and control individuals, as well as the NERD group (p < 0.05). The number of acidic refluxes was significantly correlated with the time on the acidification of the esophagus (r = 0.5439; p < 0.05). The median time of chemical clearance was 1.55 min (95% CI: 1.19−2.0) in control subjects, 2.4 min (95% CI: 1.65−2.94), in the NERD group, 2.85 min (95% CI: 1.80−3.84) in the ERD group, and 3 min (95% CI: 2.1−4.68) in the BE group. The analysis of the mean nocturnal baseline impedance (MNBI) revealed a tendency to decrease the values in patients with GERD relative to the control subjects, and there was a decrease in the values of MNBI as the severity of GERD ― from NERD to ERD and BE (p < 0.05). Manometric signs of hiatal hernia and/or hypotension of the lower esophageal sphincter were more often registered in the groups of patients with ERD (70%) and BE (65%) than in patients with NERD (32%) and in control group (12%). In addition, the frequency of such esophageal motor disorders as ineffective motility and absent contractility were significantly more often observed in patients with ERD and BE (75% and 77%, respectively) compared with patients with NERD (22.5%) and control subjects (12,5%).
Conclusions. Increase in level of total time with pH < 4, number of acid refluxes, slowing chemical clearance, reduced values of MNBI, as well as disorders of the structure and function of the esophagogastric junction and motility of the esophagus are associated with the severity of аcid pathology of the esophagus.
Full Text
Обоснование
Заболевания пищевода представляют собой гетерогенную группу нозологий, большинство которых в рутинной клинической практике представлено кислотозависимыми заболеваниями. К проблеме последних с начала XXI в. отмечается повышенный интерес мирового медицинского сообщества, что обусловлено не только тенденцией к росту заболеваемости, но и хроническим течением, существенно влияющим на качество жизни больных [1].
Действительно, на настоящий момент отмечается тенденция к увеличению распространенности гастроэзофагеальной рефлюксной болезни (ГЭРБ), составляющей 8−33% по всему миру [2], что коррелирует с ростом ожирения среди населения как важного фактора риска этого заболевания [3].
Проблема ГЭРБ актуальна на протяжении многих лет и неоднократно обсуждалась в рамках международных консенсусов, пытавшихся с разных точек зрения подойти к пониманию различных аспектов заболевания. В 2006 г. состоялся Монреальский консенсус, где акцент был сделан на определение самой болезни. Римские критерии стремились охарактеризовать ее функциональные признаки. Лионский консенсус 2017 года большое внимание уделил патофизиологии [4].
ГЭРБ в настоящее время является одним из наиболее частых диагнозов в гастроэнтерологической практике и представлена всеми возрастными группами в целом без существенных гендерных отличий, хотя среди пациентов с неэрозивной рефлюксной болезнью чаще встречаются женщины, а более тяжелыми формами ГЭРБ чаще страдают мужчины [5].
Даже сегодня патофизиология ГЭРБ до конца не изучена, хотя в настоящее время нет сомнений в многофакторности заболевания. К факторам, провоцирующим или усугубляющим рефлюкс, относятся скользящая грыжа пищеводного отверстия диафрагмы, низкое давление нижнего пищеводного сфинктера, транзиторное расслабление нижнего пищеводного сфинктера, наличие «кислотного кармана», ожирение, замедленные пищеводный клиренс и опорожнение желудка. Кроме того, на восприятие симптомов ГЭРБ влияют многочисленные механизмы, такие как состав рефлюктата, его проксимальная протяженность, целостность слизистой оболочки пищевода, периферическая и центральная сенсибилизация, а также психологический статус пациента [6]. Таким образом, ГЭРБ, на самом деле, является семейством синдромов с разнообразной патофизиологической основой, а следовательно, требует дифференциального подхода к лечению с целью достижения большей его эффективности. Сегодня, несмотря на широкий арсенал ингибиторов протонной помпы, составляющих основу терапии ГЭРБ, вплоть до 30% пациентов имеют рефрактерное течение заболевания [7].
Особое внимание к проблеме ГЭРБ отмечается как со стороны самих пациентов, что обусловлено в первую очередь снижением качества их жизни, так и медицинского сообщества, отводящего заболеванию главную роль в развитии такого предракового состояния, как пищевод Барретта, при котором специализированный цилиндрический эпителий с бокаловидными клетками замещает нормальный неороговевающий многослойный плоский эпителий дистального отдела пищевода [8, 9]. Частота выявления пищевода Барретта, по данным ряда публикаций, достигает 4% [9]. При этом у пациентов с данной патологией риск развития аденокарциномы пищевода в 30−125 раз выше, чем в общей популяции [10, 11].
Результаты клинических исследований, проведенных к настоящему времени, подчеркивают релевантность не только эзофагеальной ацидификации, но и моторно-тонических нарушений в генезе пищевода Барретта и его последующей трансформации в аденокарциному пищевода [12, 13]. Важно отметить, что данные нарушения носят гетерогенный характер, при этом эффективность традиционной лекарственной терапии в зависимости от паттерна этих изменений остается неизвестной [14].
Диагностика ГЭРБ, как известно, включает в себя клиническую оценку предъявляемых жалоб и анамнеза заболевания, а также данных опросников ГЭРБ, результата теста с назначением ингибиторов протонной помпы, данных эзофагогастродуоденоскопии, позволяющих оценить состояние слизистой оболочки пищевода, на основании чего можно выделить две основные эндоскопические формы ГЭРБ ― неэрозивную рефлюксную болезнь, составляющую 60−65% всех случаев, и эрозивную рефлюксную болезнь, выявляемую у 30−35% пациентов [15].
Кроме того, среди методов исследования все шире используются суточная рН-импедансометрия и манометрическое исследование пищевода высокого разрешения. Эти современные методы занимают значимое место в дифференциальной диагностике ГЭРБ и других состояний, определении фенотипов болезни, выявлении патогенетических механизмов, лежащих в основе возникновения симптомов, а также обусловливающих резистентное течение ГЭРБ, в определении прогноза лечения пациентов, как консервативного, так и хирургического [4, 16].
Суточная рН-импедансометрия представляет собой комбинацию классического рН-исследования, которое выявляет кислые рефлюксы по эпизодам рН < 4, и импеданс-исследования, позволяющего выявлять любые по физическим свойствам рефлюксы (жидкие, газовые, смешанные) вне зависимости от рН (в том числе при рН > 4), что является ее преимуществом перед традиционной рН-метрией. На сегодняшний день рН-импедансометрия ― «золотой стандарт» выявления всех типов рефлюксов [17]. Таким образом, исследование позволяет с высокой точностью установить диагноз ГЭРБ путем выявления патологических рефлюксов в пищеводе, что имеет особое значение в случае предполагаемой неэрозивной рефлюксной болезни. Кроме того, с помощью рН-импедансометрии можно оценить наличие или отсутствие связи имеющихся у пациента симптомов с рефлюксами, а также оценить эффективность проводимой кислотосупрессивной терапии, что также важно в случаях осложненного течения ГЭРБ, то есть для пациентов с пищеводом Барретта [18].
Согласно отечественным и международным рекомендациям, план обследования пациентов с ГЭРБ включает проведение манометрии пищевода [4, 15]. Несмотря на то, что манометрическое исследование не является прямым методом диагностики ГЭРБ, оно дает ценную информацию о состоянии двигательной функции пищевода и его сфинктерного аппарата. В первую очередь, манометрия становится актуальной при рефрактерном течении ГЭРБ, когда терапия ингибиторами протонной помпы оказывается неэффективной или недостаточно эффективной. При персистирующих симптомах ГЭРБ манометрия позволяет выявлять различные моторные расстройства пищевода, исключать другие заболевания пищевода, сопровождаемые схожей с ГЭРБ симптоматикой, а также помогает в динамической оценке эффективности терапии, направленной на коррекцию моторных нарушений [18]. Особое значение манометрия пищевода приобретает в случае решения вопроса о проведении фундопликации пациентам с ГЭРБ. Метод позволяет дифференцировать ГЭРБ и сходные по клиническим проявлениям расстройства моторики, а также оценивать двигательную функцию пищевода, в том числе с использованием функциональных тестов, что необходимо при оценке рисков хирургического вмешательства [19].
Цель исследования ― оценить характер эзофагеальной ацидификации и моторики пищевода у пациентов с пищеводом Барретта в сравнении с различными фенотипами ГЭРБ и лицами контроля.
Методы
Дизайн исследования
Обсервационное одномоментное одноцентровое выборочное исследование.
Критерии соответствия
В исследование включались пациенты мужского или женского пола в возрасте от 18 до 70 лет с эндоскопически и/или рН-метрически верифицированной ГЭРБ, а также гистологически верифицированным пищеводом Барретта. Пациенты с дисплазией высокой степени в исследование не включались. Контрольную группу составили лица без признаков патологии пищевода.
Условия проведения
Исследование проводилось на базе лаборатории функциональных методов исследования в гастроэнтерологии ФГБОУ ВО «МГМСУ им. А.И. Евдокимова» Минздрава России и в отделении гастроэнтерологии и паллиативной терапии НУЗ «ЦКБ № 2 им. Н.А. Семашко ОАО «РЖД»».
Продолжительность исследования
Первый этап исследования проводился в течение 2019 г.
Описание медицинского вмешательства
Всем пациентам после заполнения информированного согласия проводились суточная рН-импедансометрия и манометрия пищевода высокого разрешения. Для проведения 24-часовой рН-импедансометрии использовался амбулаторный рН-рекордер для суточной рН-импедансометрии OHMEGA (Medical Measurement Systems, Нидерланды). Мониторирование всем пациентам проводилось без приема ими ингибиторов протонной помпы. Для проведения манометрии пищевода высокого разрешения использовался твердотельный катетер с 36 круговыми датчиками давления, а анализ данных производился с помощью специализированного программного обеспечения Medical Measurements Systems (MMS, Нидерланды). Исследование проводилось в отсутствии приема препаратов, влияющих на моторную функцию пищевода, у всех пациентов. Использовалась стандартная методика с 10 глотками воды по 5 мл в положении пациента лежа на спине.
Исходы исследования
Основной исход исследования
Изучались особенности эзофагеальной ацидификации и моторики пищевода у пациентов с пищеводом Барретта относительно различных фенотипов ГЭРБ и лиц контроля. Для этого оценивались такие показатели, как процент времени с рН < 4 за сутки, количество кислых рефлюксов (с рН < 4), время химического пищеводного клиренса и средний ночной базальный импеданс, а также манометрически выявляемые грыжи пищеводного отверстия диафрагмы и гипотония нижнего пищеводного сфинктера, изменения двигательной функции грудного отдела пищевода.
Методы регистрации исходов
Согласно цели исследования, по результатам суточной рН-импедансометрии в представленных группах пациентов проводился сравнительный анализ таких показателей, как процент времени с рН < 4 за сутки, количество кислых рефлюксов (с рН < 4), время химического пищеводного клиренса и среднего ночного базального импеданса.
Процент времени с рН < 4 за сутки или время экспозиции кислоты (%) ― один из основных показателей рН-импедансометрии, который определялся как процент времени за сутки, в течение которого рН в пищеводе составляло < 4. Согласно Лионскому консенсусу, данный параметр считается достоверно нормальным при значении < 4% и достоверно патологическим при значении > 6%. Все значения, попадающие в интервал 4−6%, являются неубедительными [4]. Процент времени с рН < 4 за сутки ― один из предикторов ответа на лекарственную и хирургическую антирефлюксную терапию. Так, показатель > 6% будет свидетельствовать за диагноз ГЭРБ и обусловливать лучший ответ на лечение [20].
Также производилась оценка количества рефлюксов за сутки. Согласно Лионскому консенсусу, достоверно повышенным является суточное количество рефлюксов > 80, а в том случае, если их < 40 за сутки, это расценивается как физиологическое количество. Несмотря на то, что этот показатель дополнительный, он приобретает актуальность в случаях, когда время экспозиции кислоты составляет 4−6%, то есть попадает в интервал «неубедительных значений» [4].
Химический пищеводный клиренс оценивался как время, в течение которого происходила элиминация химического раздражителя (кислого содержимого) из полости пищевода. Химический клиренс зависит в первую очередь от перистальтической активности пищевода, а также от процесса слюноотделения, состава слюны и слизи [21].
Кроме того, в результате суточной рН-импедансометрии определялся относительно новый параметр среднего ночного базального импеданса, косвенно отражающий состояние слизистой оболочки пищевода в дистальном отделе. Средний ночной базальный импеданс рассчитывался как среднее значение импеданса в течение трех 10-минутных периодов с интервалом 1 ч в ночное время на уровне 3 и 5 см от верхнего края нижнего пищеводного сфинктера [22].
В рамках исследования путем проведения манометрии пищевода высокого разрешения оценивались состояние пищеводно-желудочного перехода, а именно наличие или отсутствие грыжи пищеводного отверстия диафрагмы и гипотонии нижнего пищеводного сфинктера, а также двигательная функция грудного отдела пищевода. Манометрические результаты интерпретировались согласно Чикагской классификации моторных нарушений 3-го пересмотра (2015) [23].
Этическая экспертиза
Протокол настоящего исследования был одобрен Межвузовским комитетом по этике (протокол № 04-19 от 18.04.2019). Каждый пациент получал подробную информацию о проводимом исследовании и подписывал информированное согласие на участие в исследовании.
Статистический анализ
Принципы расчета размера выборки
Размер выборки предварительно не рассчитывался.
Методы статистического анализа данных
Статистическая обработка проводилась с помощью специализированного программного обеспечения MedCalc 14.8.1 (Бельгия) в среде Microsoft Windows 10 (США). Данные представлены в виде медианы и 95% доверительного интервала (ДИ). Проверка статистических гипотез осуществлялась с помощью непараметрического U-критерия Манна–Уитни и параметрического критерия Фишера. Полученные результаты расценивались как достоверные при р < 0,05.
Результаты
Объекты (участники) исследования
Нами было обследовано 100 пациентов и лиц контроля (табл. 1). Средний возраст обследованных составил 46,5 года (95% ДИ 42,7−51,3). Пациенты с ГЭРБ и пищеводом Барретта по медиане возраста достоверно не отличались от лиц контрольной группы: 47,0 (95% ДИ 43,4−52,5) против 43 (95% ДИ 29,9−55,0) лет (p = 0,0515).
Таблица 1. Распределение пациентов по возрасту и полу в группах
Группа | Абсолютное число, n | Мужчины, n (%) | Женщины, n (%) | Возраст (Ме, 95% ДИ), лет |
Контроль | 32 | 18 (56) | 14 (44) | 43 (29,9−55,0) |
НЭРБ | 31 | 15 (48) | 16 (52) | 51 (43,6−58,0) |
ЭРБ | 20 | 15 (75) | 5 (25) | 48,5 (37,5−53,8) |
ПБ | 17 | 12 (71) | 5 (29) | 41 (38,0−54,9) |
Примечание. НЭРБ ― неэрозивная рефлюксная болезнь, ЭРБ ― эрозивная рефлюксная болезнь, ПБ ― пищевод Барретта.
Обследованная когорта пациентов представлена нативными больными: мониторирование основных параметров рН-импедансометрии и манометрии высокого разрешения проводилось без приема стандартной медикаментозной терапии.
Основные результаты исследования
По данным суточной рН-импедансометрии, общее время с рН < 4 в пищеводе составило 1,9% (95% ДИ 1,1−2,7) у лиц контроля, 11,6% (95% ДИ 8,76−13,4) в группе пациентов с неэрозивной рефлюксной болезнью, 19,35% (95% ДИ 12,70−26,05) в группе эрозивной рефлюксной болезни и с наибольшими значениями у больных пищеводом Барретта ― 28% (95% ДИ 10,04−40,96) (рис. 1).
Рис. 1. Сравнительные данные по оценке общего времени с рН < 4 в пищеводе
Примечание. НЭРБ ― неэрозивная рефлюксная болезнь, ЭРБ ― эрозивная рефлюксная болезнь, ПБ ― пищевод Барретта.
Среднее количество кислых рефлюксов составило 18,0 (95% ДИ 10,99−23,0) у лиц контроля, 58,0 (95% ДИ 42,34−71,0) у пациентов с неэрозивной рефлюксной болезнью, 78,5 у больных эрозивной рефлюксной болезни (95% ДИ 65,34−103,93) и также с наибольшими значениями в группе пациентов с пищеводом Барретта ― 89,0 (95% ДИ 67,03−118,72) (рис. 2). Статистически достоверные различия в исследуемых показателях были отмечены при сравнении пациентов с пищеводом Барретта и лицами контроля, а также группой неэрозивной рефлюксной болезни.
Рис. 2. Сравнительные данные по оценке количества кислых рефлюксов за сутки
Примечание. НЭРБ ― неэрозивная рефлюксная болезнь, ЭРБ ― эрозивная рефлюксная болезнь, ПБ ― пищевод Барретта
Количество кислых рефлюксов достоверно коррелировало с показателем времени ацидификации пищевода (рН < 4) (r = 0,5439; 95% ДИ 0,35−0,69) (рис. 3).
Рис. 3. Корреляция количества кислых рефлюксов с показателем времени ацидификации пищевода (рН < 4)
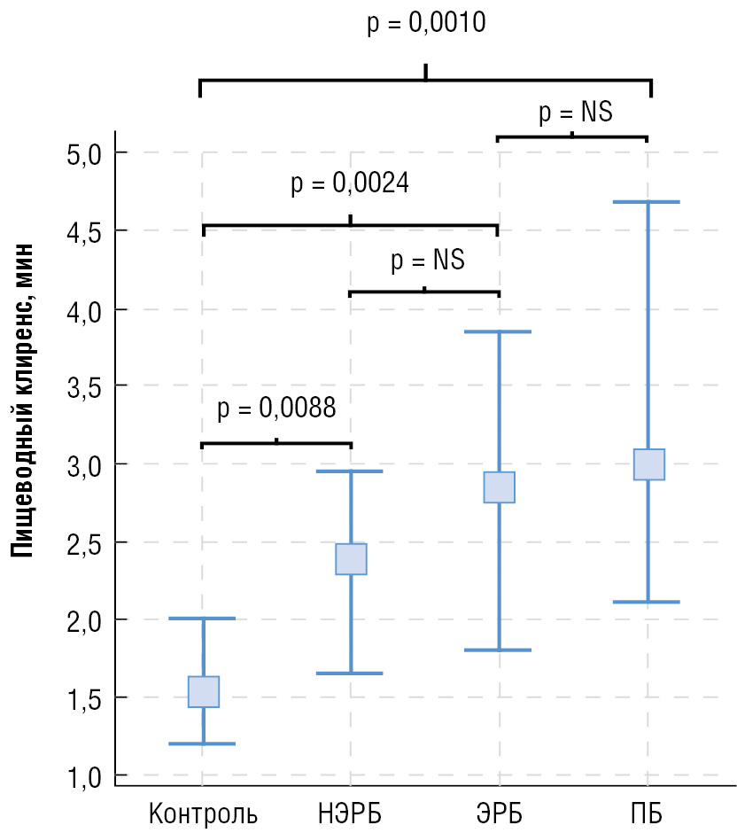
Медиана времени химического клиренса составила 1,55 мин (95% ДИ 1,19−2,0) у лиц контроля и увеличивалась по мере возрастания тяжести заболевания пищевода: 2,4 мин (95% ДИ 1,65−2,94) при неэрозивной рефлюксной болезни, 2,85 мин (95% ДИ 1,80−3,84) при эрозивной рефлюксной болезни и 3 мин (95% ДИ 2,1−4,68) у пациентов с пищеводом Барретта (рис. 4).
Рис. 4. Сравнительные данные по оценке времени химического пищеводного клиренса
Примечание. НЭРБ ― неэрозивная рефлюксная болезнь, ЭРБ ― эрозивная рефлюксная болезнь, ПБ ― пищевод Барретта.
Таким образом, достоверно более высокие показатели эзофагеальной ацидификации, а также увеличение времени химического клиренса отмечаются у пациентов с ГЭРБ и пищеводом Барретта в сравнении с лицами контроля.
При анализе среднего ночного базального импеданса выявлена тенденция к снижению значений данного показателя у пациентов с ГЭРБ относительно лиц контроля, а также отмечалось снижение значений среднего ночного базального импеданса по мере возрастания тяжести ГЭРБ ― от неэрозивной к эрозивной стадии рефлюксной болезни и пищеводу Барретта (табл. 2).
Таблица 2. Сравнительная оценка среднего ночного базального импеданса между группами
Группа | 3 см, Ме (95% ДИ) | 5 см, Ме (95% ДИ) |
Контроль | 2623,5 (2376,89−2997,08)* | 2871,5 (2494,97−3351,02)* |
НЭРБ | 1730,0 (1033,85−2095,92)** | 1574,0 (1330,57−2084,31)** |
ЭРБ | 887,5 (533,85−2039,9) | 1194,5 (696,85−1947,88) |
ПБ | 756,0 (581,48−1234,66) | 938,0 (540,89−1621,84) |
Примечание. * ― p < 0,0001 в группах НЭРБ/ЭРБ/ПБ, ** ― p < 0,05 в группе ПБ. НЭРБ ― неэрозивная рефлюксная болезнь, ЭРБ ― эрозивная рефлюксная болезнь, ПБ ― пищевод Барретта.
Манометрические признаки грыжи пищеводного отверстия диафрагмы и/или гипотонии нижнего пищеводного сфинктера чаще регистрировались в группах пациентов с эрозивной рефлюксной болезнью (70%) и пищеводом Барретта (65%), чем у пациентов с неэрозивной рефлюксной болезнью (32%) и у здоровых лиц (12%) (рис. 5, 6).
Рис. 5. Манометрия высокого разрешения. Пищеводно-желудочный переход
Примечание. А ― нормальная структура ПЖП: ПЖП представлен единой зоной давления, включающей НПС и НД. Б ― нарушение структуры ПЖП: ПЖП представлен двумя зонами давления (верхняя ― давление НПС, нижняя ― давление НД), что соответствует грыже пищеводного отверстия диафрагмы. В ― гипотония НПС: давление покоя НПС 4 мм рт.ст. (норма 10−45). ВПС ― верхний пищеводный сфинктер, НПС ― нижний пищеводный сфинктер, НД ― ножки диафрагмы, ПЖП ― пищеводно-желудочный переход.
Рис. 6. Манометрические данные по оценке структуры и двигательной функции пищеводно-желудочного перехода
Примечание. НПС ― нижний пищеводный сфинктер, ГПОД ― грыжа пищеводного отверстия диафрагмы, НЭРБ ― неэрозивная рефлюксная болезнь, ЭРБ ― эрозивная рефлюксная болезнь, ПБ ― пищевод Барретта.
Помимо этого, согласно результатам манометрии пищевода высокого разрешения выявлено, что частота таких двигательных нарушений грудного отдела пищевода, как неэффективная моторика и отсутствие сократимости, достоверно чаще наблюдались у пациентов с эрозивной рефлюксной болезнью и пищеводом Барретта (75 и 77% соответственно) в сравнении с больными неэрозивной рефлюксной болезнью (22,5%) и лицами контроля (12,5%) (рис. 7, 8).
Рис. 7. Манометрия высокого разрешения. Моторика грудного отдела пищевода
Примечание. А ― нормальная моторика: ИСДС 2769 мм рт.ст. × см × сек (норма 450−8000). Б ― неэффективная моторика: ИСДС 360 мм рт.ст. × см × сек (норма 450−8000) ― ослабленная перистальтика. В ― отсутствие сократимости: ИСДС 0 мм рт.ст. × см × сек (норма 450−8000). ВПС ― верхний пищеводный сфинктер; НПС ― нижний пищеводный сфинктер; ИСДС ― интегральная сократимость дистального сегмента.
Рис. 8. Манометрические данные по оценке двигательной функции грудного отдела пищевода
Примечание. НЭРБ ― неэрозивная рефлюксная болезнь, ЭРБ ― эрозивная рефлюксная болезнь, ПБ ― пищевод Барретта.
Нежелательные явления
Нежелательных явлений не зарегистрировано.
Обсуждение
Резюме основного результата исследования
В работе изучен характер эзофагеальной ацидификации и моторики пищевода у пациентов с пищеводом Барретта в сравнении с различными фенотипами ГЭРБ и лицами контроля. Статистически достоверные различия по таким показателям, как общее время с рН < 4 в пищеводе и среднее количество кислых рефлюксов, были отмечены при сравнении пациентов с пищеводом Барретта с лицами контроля и группой неэрозивной рефлюксной болезни. Медиана времени химического клиренса достоверно выше у пациентов с ГЭРБ и пищеводом Барретта в сравнении с лицами контроля. При анализе среднего ночного базального импеданса выявлена тенденция к снижению значений данного показателя у пациентов с ГЭРБ и пищеводом Барретта относительно лиц контроля, также отмечалось снижение значений среднего ночного базального импеданса по мере возрастания тяжести ГЭРБ ― от неэрозивной стадии к эрозивной рефлюксной болезни и пищеводу Барретта. Нарушения структуры пищеводно-желудочного перехода в виде грыжи пищеводного отверстия диафрагмы и/или гипотонии нижнего пищеводного сфинктера, а также расстройства моторики, представленные ее неэффективностью и отсутствием сократимости, значительно преобладали в группе с пищеводом Барретта по сравнению с контролем и группой с неэрозивной рефлюксной болезнью. Достоверных различий с группой эрозивной рефлюксной болезни не выявлено.
Обсуждение основного результата исследования
Данные по уровню таких показателей, как время с рН < 4 за сутки, количество кислых рефлюксов за сутки и химический пищеводный клиренс, отражены в ряде исследований, посвященных изучению различных фенотипов ГЭРБ. Следует отметить, что сравнительные результаты не во всех исследованиях имели сходные тенденции и в основном были представлены для групп с неэрозивной/эрозивной рефлюксной болезнью и лиц контроля, не включая пациентов с пищеводом Барретта. В исследовании J. Martínek и соавт. [24] было обследовано 111 пациентов с неэрозивной и 77 пациентов с эрозивной рефлюксной болезнью, однако достоверных различий по основным параметрам рН-импедансометрии (время с рН < 4 за сутки, количество кислых рефлюксов за сутки) в данных группах выявлено не было. По данным E. Savarino и соавт. [25] отмечалось, что время с рН < 4 за сутки достоверно больше в группе эрозивной рефлюксной болезни (7,4%) по сравнению с группой неэрозивной рефлюксной болезни (4,2%) и группой контроля (0,7%). Также было выявлено увеличение количества кислых рефлюксов в группах с эрозивной (51) и неэрозивной рефлюксной болезнью (34) по отношению к контролю (17), а время химического клиренса превышало нормальные значения у пациентов с эрозивной рефлюксной болезнью относительно группы неэрозивной рефлюксной болезни. Сходные результаты демонстрируют и другие исследования пациентов с ГЭРБ [21, 26], что согласуется с полученными нами данными по группам эрозивной/неэрозивной рефлюксной болезни и лицам контроля. Собственное исследование включало также группу нативных пациентов с пищеводом Барретта. Статистически достоверные различия по времени с рН < 4 за сутки, количеству кислых рефлюксов за сутки и химическому пищеводному клиренсу были выявлены при сравнении пациентов с пищеводом Барретта с лицами контроля и группой неэрозивной рефлюксной болезни. Достоверных различий по указанным параметрам в группах с пищеводом Барретта и эрозивной рефлюксной болезни не отмечено.
В настоящее время большое внимание уделяется исследованию значений среднего ночного базального импеданса при различной патологии пищевода. Ряд исследований позволяет предполагать, что средний ночной базальный импеданс косвенно отражает наличие поражения слизистой оболочки пищевода. Так, была отмечена связь низких значений среднего ночного базального импеданса с наличием воспалительных изменений слизистой оболочки пищевода, в том числе у пациентов с ГЭРБ [27, 28].
В нашей работе была выявлена сходная тенденция к снижению значений данного показателя у пациентов с неэрозивной рефлюксной болезнью относительно группы контроля и еще более выраженное снижение в группах с эрозивной рефлюксной болезнью и пищеводом Барретта. Также при комплексном анализе полученных рН-импеданс-данных можно отметить, что уровень среднего ночного базального импеданса обратно пропорционален значениям времени с рН < 4 ― чем дольше оказывается агрессивное воздействие соляной кислоты на слизистую оболочку пищевода, тем более выражены ее изменения, что отражается более низкими значениями среднего ночного базального импеданса у пациентов с эрозивной рефлюксной болезнью и пищеводом Барретта. Данные закономерности отражены и в других исследованиях [29−31].
Посредством манометрии высокого разрешения нами оценивались наличие или отсутствие грыжи пищеводного отверстия диафрагмы и гипотонии нижнего пищеводного сфинктера во всех исследуемых группах. Статистически достоверные различия были выявлены при сравнении пациентов с пищеводом Барретта и лиц контрольной группы, а также группы неэрозивной рефлюксной болезни, указывающие на более частую встречаемость грыжи пищеводного отверстия диафрагмы и гипотонии нижнего пищеводного сфинктера в группе с пищеводом Барретта. Достоверных различий по указанным параметрам в группах с пищеводом Барретта и эрозивной рефлюксной болезнью не отмечено. В исследовании E. Savarino и соавт. [32] также наблюдалось увеличение частоты обнаружения грыжи пищеводного отверстия диафрагмы и гипотонии нижнего пищеводного сфинктера в группах с эрозивной рефлюксной болезнью и пищеводом Барретта в сравнении с пациентами с неэрозивной рефлюксной болезнью, однако данные расстройства преобладали у пациентов с пищеводом Барретта. В работе C. Bazin и соавт. [12] было обследовано 65 пациентов с ГЭРБ (без дифференцировки на неэрозивную/эрозивную рефлюксную болезнь) и 38 пациентов с пищеводом Барретта. Отмечено, что грыжи пищеводного отверстия диафрагмы и гипотония нижнего пищеводного сфинктера достоверно чаще выявлялись в группе пищевода Барретта в сравнении с группой ГЭРБ и были признаны независимыми факторами риска пищевода Барретта.
При оценке двигательной функции грудного отдела пищевода нами было отмечено, что моторные нарушения у лиц контроля и пациентов с неэрозивной рефлюксной болезнью встречаются достоверно реже, чем в группах с эрозивной рефлюксной болезнью и пищеводом Барретта. Наиболее частым моторным расстройством в целом являлась неэффективная моторика пищевода, характеризующаяся снижением интенсивности сокращения грудного отдела пищевода на ≥ 50% глотков [23]. Данное нарушение моторики значительно преобладало в группах пациентов с эрозивной рефлюксной болезнью и пищеводом Барретта по сравнению с лицами контроля и пациентами с неэрозивной рефлюксной болезнью. Кроме того, у пациентов с пищеводом Барретта в 28% случаев выявлялось отсутствие сократимости грудного отдела пищевода, что относится к тяжелым моторным расстройствам [23]. В исследовании C. Bazin и соавт. [12] также было отмечено, что моторные расстройства грудного отдела пищевода достоверно чаще выявлялись в группе с пищеводом Барретта по сравнению с группой пациентов ГЭРБ.
Кроме того, в настоящем исследовании можно отметить, что наличие расстройств моторики грудного отдела пищевода, чаще регистрируемых у пациентов с эрозивной рефлюксной болезнью и пищеводом Барретта, ассоциировано с величиной экспозиции кислоты, которая была сравнительно выше, чем у лиц контроля и пациентов с неэрозивной рефлюксной болезнью. Также существует взаимосвязь между нарушениями моторики и временем химического клиренса. Так, в группах пациентов, где чаще встречались нарушения двигательной функции в виде неэффективной моторики и отсутствия сократимости (эрозивная рефлюксная болезнь и пищевод Барретта), отмечался замедленный клиренс, что также представлено в исследовании S. Sanagapalli и соавт. [13].
Ограничения исследования
В нашем исследовании размер выборки предварительно не рассчитывался, что накладывает существенные ограничения на возможности экстраполяции полученных результатов на аналогичных пациентов, не вошедших в исследование.
Заключение
Настоящее исследование показывает, что увеличение уровня экспозиции кислоты, количества кислых рефлюксов, замедление химического клиренса, снижение значений среднего ночного базального импеданса, а также расстройства структуры и функции пищеводно-желудочного перехода и моторики грудного отдела пищевода ассоциированы с тяжестью кислотозависимой патологии пищевода. Выявленные паттерны эзофагеальной ацидификации и нарушений моторики у нативных пациентов с пищеводом Барретта при последующей их оценке в динамике на фоне применения стандартных медикаментозных методов лечения в перспективе позволят идентифицировать предикторы резистентности к проводимой терапии, основанные на этих маркерах. Таким образом, для клинической практики актуализируется значение рН-импедансометрии и манометрии пищевода высокого разрешения как высокотехнологичных диагностических методик, играющих роль в рамках предиктивной и фактической оценки эффективности медикаментозного лечения пищевода Барретта.
Дополнительная информация
Источник финансирования. Работа выполнена в рамках реализации государственного задания Министерства здравоохранения Российской Федерации по теме «Разработка и внедрение высокотехнологичных персонализированных методов подбора и оценки эффективности медикаментозного лечения пищевода Барретта в аспекте профилактики аденокарциномы пищевода» (№ гос. регистрации АААА-А19-119022090064-4 от 20.02.2019).
Конфликт интересов. Авторы заявляют об отсутствии конфликта интересов.
Участие авторов. И.В. Маев ― разработка концепции и дизайна статьи; Е.В. Баркалова и М.А. Овсепян ― набор пациентов, проведение функциональных исследований (манометрия пищевода высокого разрешения, рН-импедансометрия), сбор данных, обработка материала, подготовка рукописи статьи; Ю.А. Кучерявый ― редактирование статьи на этапах подготовки к публикации; Д.Н. Андреев ― подготовка рукописи статьи, статистическая обработка данных, редактирование; П.Р. Мовтаева, Р.И. Шабуров ― написание отдельных разделов, редактирование. Все авторы внесли значимый вклад в проведение исследования, подготовку статьи, прочли и одобрили финальную версию перед публикацией.
About the authors
Igor V. Maev
A.I. Yevdokimov Moscow State University of Medicine and Dentistry
Email: igormaev@rambler.ru
ORCID iD: 0000-0001-6114-564X
Scopus Author ID: 7006155179
MD, PhD, Professor
Russian Federation, 20/1, Delegatskaya street, Moscow, 127473Elena V. Barkalova
A.I. Yevdokimov Moscow State University of Medicine and Dentistry
Author for correspondence.
Email: maslovaalena@mail.ru
ассистент кафедры
Russian Federation, 20/1, Delegatskaya street, Moscow, 127473Yury A. Kucheryavyy
A.I. Yevdokimov Moscow State University of Medicine and Dentistry
Email: proped@mail.ru
ORCID iD: 0000-0001-7760-2091
SPIN-code: 4503-8807
MD, PhD
Russian Federation, 20/1, Delegatskaya street, Moscow, 127473Mariia A. Ovsepyan
A.I. Yevdokimov Moscow State University of Medicine and Dentistry
Email: solnwshko_@mail.ru
ORCID iD: 0000-0003-4511-6704
SPIN-code: 1599-5490
старший лаборант
Russian Federation, 20/1, Delegatskaya street, Moscow, 127473Dmitrii N. Andreev
A.I. Yevdokimov Moscow State University of Medicine and Dentistry
Email: dna-mit8@mail.ru
ORCID iD: 0000-0002-4007-7112
SPIN-code: 2980-3362
Scopus Author ID: 55695457100
MD, PhD
Russian Federation, 20/1, Delegatskaya street, Moscow, 127473Pеtimat R. Movtaeva
A.I. Yevdokimov Moscow State University of Medicine and Dentistry
Email: fatima.movtaeva@mail.ru
ORCID iD: 0000-0002-2716-625X
SPIN-code: 3940-4112
соискатель ученой степени кандидата медицинских наук
Russian Federation, 20/1, Delegatskaya street, Moscow, 127473Raphik I. Shaburov
A.I. Yevdokimov Moscow State University of Medicine and Dentistry
Email: rafik1967@rambler.ru
ORCID iD: 0000-0001-9741-0150
SPIN-code: 5231-8479
MD, PhD
Russian Federation, 20/1, Delegatskaya street, Moscow, 127473References
- Маев И.В., Бусарова Г.А., Андреев Д.Н. Болезни пищевода. ― М.: ГЭОТАР-Медиа, 2019. ― 648 с. [Maev IV, Busarova GA, Andreev DN. Bolezni pishchevoda. Moscow: GEOTAR-Media; 2019. 648 р. (In Russ).]
- Richter JE, Rubenstein JH. Presentation and epidemiology of gastroesophageal reflux disease. Gastroenterology. 2018;154(2):267−276. doi: 10.1053/j.gastro.2017.07.045.
- Eusebi LH, Ratnakumaran R, Yuan Y, et al. Global prevalence of, and risk factors for, gastro-oesophageal reflux symptoms: a meta-analysis. Gut. 2018;67(3):430−440. doi: 10.1136/gutjnl-2016-313589.
- Katzka DA, Pandolfino JE, Kahrilas PJ. Phenotypes of gastroesophageal reflux disease: where rome, lyon, and montreal meet. Clin Gastroenterol Hepatol. 2019;18(4):767−776. doi: 10.1016/j.cgh.2019.07.015.
- Young SK, Nayoung K, Gwang HK. Sex and gender differences in gastroesophageal reflux disease. J Neurogastroenterol Motil. 2016;22(4):575–588. doi: 10.5056/jnm16138.
- Herregods TV, Bredenoord AJ, Smout PM. Pathophysiology of gastroesophageal reflux disease: new understanding in a new era. J Neurogastroenterol Motil. 2015;27(9):1202−1213. doi: 10.1111/nmo.12611.
- Domingues G, Moraes-Filho J, Fass R. Refractory heartburn: a challenging problem in clinical practice. Dig Dis Sci. 2018;63(3):577−582. doi: 10.1007/s10620-018-4927-5.
- Ивашкин В.Т., Маев И.В., Трухманов А.С. Пищевод Барретта. В 2 т. ― М.: Шико, 2011. [Ivashkin VT, Maev IV, Trukhmanov AS. Pishchevod Barreta. Moscow: Shiko, 2011. (In Russ).]
- Mohy-Ud-Din N, Krill TS, Shah AR, et al. Barrett’s esophagus: What do we need to know? Dis Mon. 2020;66(1):100850. doi: 10.1016/j.disamonth.2019.02.003.
- Runge TM, Abrams JA, Shaheen NJ. Epidemiology of barrett’s esophagus and esophageal adenocarcinoma. Gastroenterol Clin North Am. 2015;44(2):203−231. doi: 10.1016/j.gtc.2015.02.001.
- Маев И.В., Андреев Д.Н., Кучерявый Ю.А., Щегланова М.П. Аденокарцинома пищевода: факторы риска и современные стратегии скрининга // Российский журнал гастроэнтерологии, гепатологии, колопроктологии. ― 2017. ― T.27. ― №2. ― С. 4–12. [Mayev IV, Andreyev DN, Kucheryavy YuA, Scheglanova MP. Esophageal adenocarcinoma: risk factors and modern screening strategy. Russian journal of gastroenterology, hepatology, coloproctology. 2017;27(2):4–12 (In Russ).] doi: 10.22416/1382-4376-2017-27-2-4-12.
- Bazin C, Benezech A, Alessandrini M, et al. Esophageal motor disorders are a strong and independant associated factor of barrett’s esophagus. J Neurogastroenterol Motil. 2018;24(2):216−225. doi: 10.5056/jnm17090.
- Sanagapalli S, Emmanuel A, Leong R, et al. Impaired motility in Barrett’s esophagus: a study using high-resolution manometry with physiologic challenge. Neurogastroenterol Motil. 2018. doi: 10.1111/nmo.13330.
- Hoară P, Bîrlă R, Gîndea C, et al. [The role of esophageal manometry in the management of the patients with gastro-esophageal reflux disease and Barrett’s esophagus. (In Romanian)]. Chirurgia (Bucur). 2008;103(4):407−412.
- Ивашкин В.Т., Маев И.В., Трухманов А.С., и др. Клинические рекомендации Российской гастроэнтерологической ассоциации по диагностике и лечению гастроэзофагеальной рефлюксной болезни // Российский журнал гастроэнтерологии, гепатологии, колопроктологии. ― 2017. ― Т.27. ― №4. ― С. 75–95. [Ivashkin VT, Maev IV, Trukhmanov AS. et al. Diagnostics and treatment of gastroesophageal reflux disease: clinical guidelines of the Russian gastroenterological association. Russian journal of gastroenterology, hepatology, coloproctology. 2017;27(4):75–95. (In Russ).] doi: 10.22416/1382-4376-2017-27-4-75-95.
- Gyawali C, Roman S, Bredenoord A, et al. Classification of esophageal motor findings in gastro-esophageal reflux disease: conclusions from an international consensus group. Neurogastroenterol Motil. 2017;29(12). doi: 10.1111/nmo.13104.
- Roman S, Gyawali CP, Savarino E, et al. Ambulatory reflux monitoring for diagnosis of gastro-esophageal reflux disease: update of the Porto consensus and recommendations from an international consensus group. Neurogastroenterol Motil. 2017;29:1–15. doi: 10.1111/nmo.13067.
- Маев И.В., Баркалова Е.В., Овсепян М.А., и др. Возможности рН-импедансометрии и манометрии высокого разрешения при ведении пациентов с рефрактерной гастроэзофагеальной рефлюксной болезнью // Терапевтический архив. ― 2017. ― Т.89. ― №2. ― С. 76–83. [Maev IV, Barkalova EV, Ovsepyan MA, et al. Possibilities of pH impedance and high-resolution manometry in managing patients with refractory gastroesophageal reflux disease. Ter Arkh. 2017;89(2):76–83. (In Russ).] doi: 10.17116/terarkh201789276-83.
- Андреев Д.Н., Кучерявый Ю.А. Перспективы лечения гастроэзофагеальной рефлюксной болезни // Гастроэнтерология. Приложение к журналу Consilium Medicum. ― 2013. ― Т.2. ― С. 9–14. [Andreev DN, Kucheryavy YuА. Prospects of treatment of gastroesophageal reflux disease. Consilium Medicum. Gastroenterology. 2013;2:9–14. (In Russ).]
- Patel A, Sayuk GS, Gyawali CP. Parameters on esophageal pH-impedance monitoring that predict outcomes of patients with gastroesophageal reflux disease. Clin Gastroenterol Hepatol. 2015;13:884–891. doi: 10.1016/j.cgh.2014.08.029.
- Сторонова О.А., Трухманов А.С., Джахая Н.Л., Ивашкин В.Т. Нарушения пищеводного клиренса при гастроэзофагеальной рефлюксной болезни и возможности их коррекции // Российский журнал гастроэнтерологии, гепатологии, колопроктологии. ― 2012. ― Т.22. ― №2. ― С. 14–21. [Storonova OA, Trukhmanov AS, Dzhahaya NL, Ivashkin VT. Disorders of esophageal clearance in gastroesophageal reflux disease and option of their treatment. Russian journal of gastroenterology, hepatology, coloproctology. 2012;22(2):14–21. (In Russ).] doi: 10.22416/1382-4376-2017-27-4-75-95.
- Martinucci I, de Bortoli N, Savarino E, et al. Esophageal baseline impedance levels in patientswith pathophysiological characteristics of functional heartburn. Neurogastroenterol Motil. 2014;26(4):546–555. doi: 10.1111/nmo.12299.
- Kahrilas P, Bredenoord A, Fox M, et al. The Сhicago classification of esophageal motility disorders, v3.0. Neurogastroenterol Motil. 2015;27(2):160−174. doi: 10.1111/nmo.12477.
- Martínek J, Benes M, Hucl T, et al. Non-erosive and erosive gastroesophageal reflux diseases: No difference with regard to reflux pattern and motility abnormalities. Scand J Gastroenterol. 2008;43(7):794−800. doi: 10.1080/00365520801908928.
- Savarino E, Tutuian R, Zentilin P, et al. Characteristics of reflux episodes and symptom association in patients with erosive esophagitis and nonerosive reflux disease: study using combined impedance- pH off therapy. Am J Gastroenterol. 2010;105(5):1053−1061. doi: 10.1038/ajg.2009.670.
- Frazzoni M, Manta R, Mirante V, et al. Esophageal chemical clearance is impaired in gastro- esophageal reflux disease-a 24-h impedance pH monitoring assessment. Neurogastroenterol Motil. 2013;25(5):399–406. doi: 10.1111/nmo.12080.
- Rhijn B, Kessing B, Smout A, et al. Oesophageal baseline impedance values are decreased in patients with eosinophilic oesophagitis. United European Gastroenterol J. 2013;1(4):242−248. doi: 10.1177/2050640613496411.
- Farré R, Blondeau K, Clement D, et al. Evaluation of oesophageal mucosa integrity by the intraluminal impedance technique. Gut. 2011;60(7):885–892. doi: 10.1136/gut.2010.233049.
- Kessing B, Bredenoord A, Weijenborg P, et al. Esophageal acid exposure decreases intraluminal baseline impedance levels. Am J Gastroenterol. 2011;106(12):2093−2097. doi: 10.1038/ajg.2011.276.
- Сторонова О.А., Трухманов А.С., Макушина А.А., и др. Новые параметры рН-импедансометрии в постановке диагноза гастроэзофагеальной рефлюксной болезни и прогнозе тяжести течения заболевания // Российский журнал гастроэнтерологии, гепатологии, колопроктологии. ― 2019. ― Т.29. ― №2. ― С. 35–44. [Storonova OA, Trukhmanov AS, Makushina AA, et al. New parameters for impedance pH monitoring in diagnosing gastroesophageal reflux disease and predicting its severity. Russian journal of gastroenterology, hepatology, coloproctology. 2019;29(2):35–44. (In Russ).] doi: 10.22416/1382-4376-2019-29-2-35-44.
- Matsumura T, Arai M, Ishigami H, et al. Evaluation of esophageal mucosal integrity in patients with gastroesophageal reflux disease. Digestion. 2018;97(1):31−37. doi: 10.1159/000484106.
- Savarino E, Gemignani L, Pohl D, et al. Oesophageal motility and bolus transit abnormalities increase in parallel with the severity of gastro-oesophageal reflux disease. Aliment Pharmacol Ther. 2011;34(4):476−486. doi: 10.1111/j.1365-2036.2011.04742.x.
Supplementary files












